- Graph Theory - Home
- Graph Theory - Introduction
- Graph Theory - History
- Graph Theory - Fundamentals
- Graph Theory - Applications
- Types of Graphs
- Graph Theory - Types of Graphs
- Graph Theory - Simple Graphs
- Graph Theory - Multi-graphs
- Graph Theory - Directed Graphs
- Graph Theory - Weighted Graphs
- Graph Theory - Bipartite Graphs
- Graph Theory - Complete Graphs
- Graph Theory - Subgraphs
- Graph Theory - Trees
- Graph Theory - Forests
- Graph Theory - Planar Graphs
- Graph Theory - Hypergraphs
- Graph Theory - Infinite Graphs
- Graph Theory - Random Graphs
- Graph Representation
- Graph Theory - Graph Representation
- Graph Theory - Adjacency Matrix
- Graph Theory - Adjacency List
- Graph Theory - Incidence Matrix
- Graph Theory - Edge List
- Graph Theory - Compact Representation
- Graph Theory - Incidence Structure
- Graph Theory - Matrix-Tree Theorem
- Graph Properties
- Graph Theory - Basic Properties
- Graph Theory - Coverings
- Graph Theory - Matchings
- Graph Theory - Independent Sets
- Graph Theory - Traversability
- Graph Theory Connectivity
- Graph Theory - Connectivity
- Graph Theory - Vertex Connectivity
- Graph Theory - Edge Connectivity
- Graph Theory - k-Connected Graphs
- Graph Theory - 2-Vertex-Connected Graphs
- Graph Theory - 2-Edge-Connected Graphs
- Graph Theory - Strongly Connected Graphs
- Graph Theory - Weakly Connected Graphs
- Graph Theory - Connectivity in Planar Graphs
- Graph Theory - Connectivity in Dynamic Graphs
- Special Graphs
- Graph Theory - Regular Graphs
- Graph Theory - Complete Bipartite Graphs
- Graph Theory - Chordal Graphs
- Graph Theory - Line Graphs
- Graph Theory - Complement Graphs
- Graph Theory - Graph Products
- Graph Theory - Petersen Graph
- Graph Theory - Cayley Graphs
- Graph Theory - De Bruijn Graphs
- Graph Algorithms
- Graph Theory - Graph Algorithms
- Graph Theory - Breadth-First Search
- Graph Theory - Depth-First Search (DFS)
- Graph Theory - Dijkstra's Algorithm
- Graph Theory - Bellman-Ford Algorithm
- Graph Theory - Floyd-Warshall Algorithm
- Graph Theory - Johnson's Algorithm
- Graph Theory - A* Search Algorithm
- Graph Theory - Kruskal's Algorithm
- Graph Theory - Prim's Algorithm
- Graph Theory - Borůvka's Algorithm
- Graph Theory - Ford-Fulkerson Algorithm
- Graph Theory - Edmonds-Karp Algorithm
- Graph Theory - Push-Relabel Algorithm
- Graph Theory - Dinic's Algorithm
- Graph Theory - Hopcroft-Karp Algorithm
- Graph Theory - Tarjan's Algorithm
- Graph Theory - Kosaraju's Algorithm
- Graph Theory - Karger's Algorithm
- Graph Coloring
- Graph Theory - Coloring
- Graph Theory - Edge Coloring
- Graph Theory - Total Coloring
- Graph Theory - Greedy Coloring
- Graph Theory - Four Color Theorem
- Graph Theory - Coloring Bipartite Graphs
- Graph Theory - List Coloring
- Advanced Topics of Graph Theory
- Graph Theory - Chromatic Number
- Graph Theory - Chromatic Polynomial
- Graph Theory - Graph Labeling
- Graph Theory - Planarity & Kuratowski's Theorem
- Graph Theory - Planarity Testing Algorithms
- Graph Theory - Graph Embedding
- Graph Theory - Graph Minors
- Graph Theory - Isomorphism
- Spectral Graph Theory
- Graph Theory - Graph Laplacians
- Graph Theory - Cheeger's Inequality
- Graph Theory - Graph Clustering
- Graph Theory - Graph Partitioning
- Graph Theory - Tree Decomposition
- Graph Theory - Treewidth
- Graph Theory - Branchwidth
- Graph Theory - Graph Drawings
- Graph Theory - Force-Directed Methods
- Graph Theory - Layered Graph Drawing
- Graph Theory - Orthogonal Graph Drawing
- Graph Theory - Examples
- Computational Complexity of Graph
- Graph Theory - Time Complexity
- Graph Theory - Space Complexity
- Graph Theory - NP-Complete Problems
- Graph Theory - Approximation Algorithms
- Graph Theory - Parallel & Distributed Algorithms
- Graph Theory - Algorithm Optimization
- Graphs in Computer Science
- Graph Theory - Data Structures for Graphs
- Graph Theory - Graph Implementations
- Graph Theory - Graph Databases
- Graph Theory - Query Languages
- Graph Algorithms in Machine Learning
- Graph Neural Networks
- Graph Theory - Link Prediction
- Graph-Based Clustering
- Graph Theory - PageRank Algorithm
- Graph Theory - HITS Algorithm
- Graph Theory - Social Network Analysis
- Graph Theory - Centrality Measures
- Graph Theory - Community Detection
- Graph Theory - Influence Maximization
- Graph Theory - Graph Compression
- Graph Theory Real-World Applications
- Graph Theory - Network Routing
- Graph Theory - Traffic Flow
- Graph Theory - Web Crawling Data Structures
- Graph Theory - Computer Vision
- Graph Theory - Recommendation Systems
- Graph Theory - Biological Networks
- Graph Theory - Social Networks
- Graph Theory - Smart Grids
- Graph Theory - Telecommunications
- Graph Theory - Knowledge Graphs
- Graph Theory - Game Theory
- Graph Theory - Urban Planning
- Graph Theory Useful Resources
- Graph Theory - Quick Guide
- Graph Theory - Useful Resources
- Graph Theory - Discussion
Graph Theory - Components
Graph Components
In graph theory, a component is a subgraph in which any two vertices are connected to each other by paths, either directly or indirectly, and are not connected to any other vertices in the supergraph.
The image displays a graph with multiple connected components, where nodes within the same component are connected by edges and are distinguished by different colors. Isolated vertices are also present, indicating nodes that are not connected to any other nodes in the graph.
Characteristics of Graph Components
Graph components have many important characteristics that define their structure and behaviour −
- Connectivity: Within a component, there is a path between any pair of vertices, ensuring internal connectivity.
- Isolation: Components are isolated from each other; there are no edges connecting vertices of different components.
- Independence: Each component operates independently from others in terms of graph traversal and properties.
Types of Graph Components
Components can be classified into various types based on their structure and characteristics −
Connected Components
A connected component is a maximal connected subgraph of an undirected graph. This means that it is impossible to add more vertices or edges to the component without breaking its connectivity.
The graph displays multiple connected components, with each component highlighted in a different color to distinguish the separate groups of connected nodes. Isolated nodes, not part of any component, are also represented.
Strongly Connected Components
In directed graphs, a strongly connected component (SCC) is a maximal subgraph in which there is a directed path between any pair of vertices. SCCs are important for understanding the structure of digraphs (directed graphs).
The image displays a directed graph with nodes grouped into strongly connected components (SCCs), where each SCC is colored differently. Nodes within the same SCC are mutually reachable, meaning there is a path between every pair of nodes in that component.
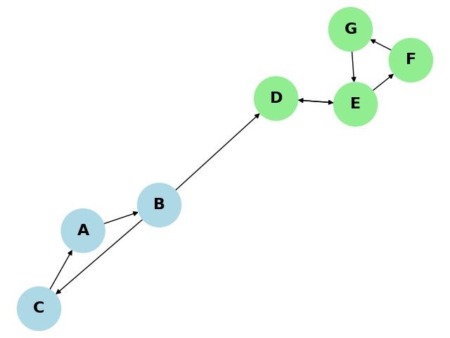
Weakly Connected Components
For directed graphs, a weakly connected component is a maximal subgraph that would be connected if we ignore the direction of edges. These components help in understanding the overall connectivity when direction is not considered.
The image shows a directed graph with multiple weakly connected components, where some components are connected through undirected paths. Each component is highlighted in different colors to distinguish them.
Isolated Components
An isolated component is a component that contains only one vertex and no edges. These are typically considered trivial components.
The image shows a graph with two connected components: one consisting of nodes 1, 2, and 3, and the other consisting of nodes 5 and 6. Node 4 is isolated, as it is not connected to any other vertices.
Properties of Graph Components
Graph components have several important properties, they are −
- Component Size: The number of vertices in a component determines its size. Components can range from isolated vertices (size 1) to containing a significant portion of the graph.
- Edge Count: The number of edges within a component is related to its connectivity and size.
- Degree Distribution: The degree distribution within a component can vary, affecting its structural properties.
- Subgraph: Each component is a subgraph of the original graph, maintaining all the edges and vertices of that subgraph.
Identifying Graph Components
We can use various algorithms to identify components within a graph, such as −
- Breadth-First Search (BFS)
- Depth-First Search (DFS)
- Union-Find Algorithm
- Tarjan's Algorithm
Breadth-First Search (BFS)
BFS can be used to explore all vertices in a component by starting from a selected vertex and visiting all reachable vertices. If some vertices are not visited, BFS is restarted from an unvisited vertex to identify another component.
In the following example, we use BFS to identify components −
A - B D - E | \ | C F
Starting from vertex A, BFS visits A, B, and C, identifying one component. Restarting BFS from D visits D, E, and F, identifying another component.
Depth-First Search (DFS)
DFS explores as far along each branch as possible before backtracking, which helps in identifying all vertices in a component. Similar to BFS, DFS can be restarted from unvisited vertices to find additional components.
In the following example, we use DFS to identify components −
A - B D - E | \ | C F
Starting from vertex A, DFS visits A, B, and C, identifying one component. Restarting DFS from D visits D, E, and F, identifying another component.
Union-Find Algorithm
The Union-Find algorithm groups vertices into disjoint sets, making it useful for identifying all components in a graph. Each set represents a component.
In the following example, we use the Union-Find algorithm to identify components:
A - B D - E | \ | C F
Union-Find identifies two sets: {A, B, C} and {D, E, F}, representing two components.
Tarjan's Algorithm
Tarjan's algorithm is designed for finding strongly connected components (SCCs) in directed graphs. It uses DFS and a stack to keep track of the vertices that are already visited.
In the following example, we use Tarjan's algorithm to identify SCCs:
A -> B -> C | | V V D <- E <- F
Tarjan's algorithm identifies SCCs: {A, B, C, D}, and {E, F}.
Analyzing Graph Components
We can analyze various graph components, each providing different details of the structure and properties of the graph −
- Component Size Calculation: Determines the size of each component by counting the number of vertices.
- Edge Count Calculation: Calculates the number of edges within each component.
- Degree Distribution Analysis: Analyzes the degree distribution within each component to understand the connectivity.
- Centrality Measures: Measures such as betweenness centrality and closeness centrality can be calculated within each component to identify important vertices.
- Component Density: Calculates the density of each component, defined as the ratio of the number of edges to the number of possible edges.