- Automata Theory - Applications
- Automata Terminology
- Basics of String in Automata
- Set Theory for Automata
- Finite Sets and Infinite Sets
- Algebraic Operations on Sets
- Relations Sets in Automata Theory
- Graph and Tree in Automata Theory
- Transition Table in Automata
- What is Queue Automata?
- Compound Finite Automata
- Complementation Process in DFA
- Closure Properties in Automata
- Concatenation Process in DFA
- Language and Grammars
- Language and Grammar
- Grammars in Theory of Computation
- Language Generated by a Grammar
- Chomsky Classification of Grammars
- Context-Sensitive Languages
- Finite Automata
- What is Finite Automata?
- Finite Automata Types
- Applications of Finite Automata
- Limitations of Finite Automata
- Two-way Deterministic Finite Automata
- Deterministic Finite Automaton (DFA)
- Non-deterministic Finite Automaton (NFA)
- NDFA to DFA Conversion
- Equivalence of NFA and DFA
- Dead State in Finite Automata
- Minimization of DFA
- Automata Moore Machine
- Automata Mealy Machine
- Moore vs Mealy Machines
- Moore to Mealy Machine
- Mealy to Moore Machine
- Myhill–Nerode Theorem
- Mealy Machine for 1’s Complement
- Finite Automata Exercises
- Complement of DFA
- Regular Expressions
- Regular Expression in Automata
- Regular Expression Identities
- Applications of Regular Expression
- Regular Expressions vs Regular Grammar
- Kleene Closure in Automata
- Arden’s Theorem in Automata
- Convert Regular Expression to Finite Automata
- Conversion of Regular Expression to DFA
- Equivalence of Two Finite Automata
- Equivalence of Two Regular Expressions
- Convert Regular Expression to Regular Grammar
- Convert Regular Grammar to Finite Automata
- Pumping Lemma in Theory of Computation
- Pumping Lemma for Regular Grammar
- Pumping Lemma for Regular Expression
- Pumping Lemma for Regular Languages
- Applications of Pumping Lemma
- Closure Properties of Regular Set
- Closure Properties of Regular Language
- Decision Problems for Regular Languages
- Decision Problems for Automata and Grammars
- Conversion of Epsilon-NFA to DFA
- Regular Sets in Theory of Computation
- Context-Free Grammars
- Context-Free Grammars (CFG)
- Derivation Tree
- Parse Tree
- Ambiguity in Context-Free Grammar
- CFG vs Regular Grammar
- Applications of Context-Free Grammar
- Left Recursion and Left Factoring
- Closure Properties of Context Free Languages
- Simplifying Context Free Grammars
- Removal of Useless Symbols in CFG
- Removal Unit Production in CFG
- Removal of Null Productions in CFG
- Linear Grammar
- Chomsky Normal Form (CNF)
- Greibach Normal Form (GNF)
- Pumping Lemma for Context-Free Grammars
- Decision Problems of CFG
- Pushdown Automata
- Pushdown Automata (PDA)
- Pushdown Automata Acceptance
- Deterministic Pushdown Automata
- Non-deterministic Pushdown Automata
- Construction of PDA from CFG
- CFG Equivalent to PDA Conversion
- Pushdown Automata Graphical Notation
- Pushdown Automata and Parsing
- Two-stack Pushdown Automata
- Turing Machines
- Basics of Turing Machine (TM)
- Representation of Turing Machine
- Examples of Turing Machine
- Turing Machine Accepted Languages
- Variations of Turing Machine
- Multi-tape Turing Machine
- Multi-head Turing Machine
- Multitrack Turing Machine
- Non-Deterministic Turing Machine
- Semi-Infinite Tape Turing Machine
- K-dimensional Turing Machine
- Enumerator Turing Machine
- Universal Turing Machine
- Restricted Turing Machine
- Convert Regular Expression to Turing Machine
- Two-stack PDA and Turing Machine
- Turing Machine as Integer Function
- Post–Turing Machine
- Turing Machine for Addition
- Turing Machine for Copying Data
- Turing Machine as Comparator
- Turing Machine for Multiplication
- Turing Machine for Subtraction
- Modifications to Standard Turing Machine
- Linear-Bounded Automata (LBA)
- Church's Thesis for Turing Machine
- Recursively Enumerable Language
- Computability & Undecidability
- Turing Language Decidability
- Undecidable Languages
- Turing Machine and Grammar
- Kuroda Normal Form
- Converting Grammar to Kuroda Normal Form
- Decidability
- Undecidability
- Reducibility
- Halting Problem
- Turing Machine Halting Problem
- Rice's Theorem in Theory of Computation
- Post’s Correspondence Problem (PCP)
- Types of Functions
- Recursive Functions
- Injective Functions
- Surjective Function
- Bijective Function
- Partial Recursive Function
- Total Recursive Function
- Primitive Recursive Function
- μ Recursive Function
- Ackermann’s Function
- Russell’s Paradox
- Gödel Numbering
- Recursive Enumerations
- Kleene's Theorem
- Kleene's Recursion Theorem
- Advanced Concepts
- Matrix Grammars
- Probabilistic Finite Automata
- Cellular Automata
- Reduction of CFG
- Reduction Theorem
- Regular expression to ∈-NFA
- Quotient Operation
- Parikh’s Theorem
- Ladner’s Theorem
Concatenation Process in DFA
In this chapter, we will discuss the concept of the concatenation process in DFA. After a brief introduction to DFAs, we will learn what concatenation in DFA, along with its steps and examples. Concatenation is vital in compiler design and other applications. We will explore important aspects of concatenated DFAs and how they enable complex pattern recognition by combining simpler DFAs into more sophisticated ones.
Deterministic Finite Automata
In automata theory the FSM or DFA has a great role in designing finite systems. To understand the concatenation, we need to recap the DFA for a better understanding. In the following table we will see the components of DFA in automata.
For a DFA D, there are five sets D = {Q, Σ, δ, q, F}. We are going to discuss them one by one.
| Components | Description |
|---|---|
| States (Q) | A DFA is a set of states that represent the various configurations an automaton can be in at any given time. |
| Alphabet (Σ) | The input symbols that a DFA can process, such as in a binary DFA, are represented by the alphabet {0, 1}. |
| Transition function (δ) | The function outlines the DFA's transition from one state to another upon reading an input symbol, specifying one next state for each state and input symbol. |
| Initial state (q) | This is the state in which the DFA begins processing input. |
| Final states (F) | Accepting states refer to the states where the DFA will be if it has successfully recognized a string in its language. |
The DFA processes an input string symbol by symbol, starting from the initial state and following the transitions defined by the transition function. If the DFA ends up in one of its final states after consuming the entire input string, the string is accepted by the DFA.
The set of all strings accepted by a DFA is called the language of the DFA. If more than one DFA accepts a long or combined set of strings in order, then that will be the concatenation.
Concatenation in DFA
In automata theory, the concatenation is a fundamental operation. Here it combines two languages into a single language. For DFAs, the concatenation refers to the process of creating a new DFA that recognizes the concatenation of the languages recognized by two individual DFAs.
Consider we have DFAs, M1 and M2, the concatenated DFA will recognize strings that can be split into two parts, where the first part is recognized by M1 and the second part by M2.
Formally we can define this in the form, for language L1 and L2, their concatenation L1L2
$$\mathrm{L_{1}L_{2} \:=\: \{xy \:|\: x \:\in \:L_{1} \:\:\:and \:\:\:y \:\in\: L_{2}\}}$$
The above expression states that the concatenation of L1 and L2 contains the all strings formed by taking a string x form L1 and appending a string y from L2.
Steps for Concatenation in DFA
Suppose we have two DFAs M1 = (Q1, Σ, δ1, q01, F1) and M2 = (Q2, Σ, δ2, q02, F2). Now to concatenate them, follow these steps −
- Make a New Initial State q0 for the concatenated DFA.
- Define the transition M1 to M2 to allow transitions from the final states of M1 to the initial state of M2 upon consuming an input symbol.
- Then merge the states and transition functions of both DFAs into a single transition function for the concatenated DFA.
- Define the final states of the concatenated DFA, which will be the final states of M2.
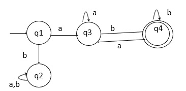
Let us understand the concatenation through an example.
Example
Consider language L1 = {0, 001, 00101, .......}, where the strings starts with 0. Consider another language L2 = {1, 1101, 110101, .......}, where the strings end with 1
To make a DFA to accept string which is starting with 0 and ending with 1, we will concatenate them. Let us see the machines for L1 and L2, respectively.
Now the concatenated machine −
Key Points on Concatenated DFAs
Concatenation allows DFAs to recognize more complex patterns by combining simpler DFAs. This is used in lexical analysis in compilers.
Regular languages are closed under concatenation, meaning that the concatenation of two regular languages is also a regular language. It can also be proved by making such concatenated machines.
Conclusion
Concatenation in DFA is an important operation in automata theory. It helps to accept the combination of languages recognized by separate DFAs.
By understanding and applying the steps to concatenate DFAs, we can construct automata for more complex languages. This process demonstrates the closure properties of regular languages and has significant practical applications in compiler design, text processing and other fields.
In this chapter, we explained the concept of concatenations with its steps, examples and some important key points in detail.