Selected Reading

Quotient and Remainder Problem type 1 Online Quiz



Following quiz provides Multiple Choice Questions (MCQs) related to Quotient and Remainder: Problem type 1. You will have to read all the given answers and click over the correct answer. If you are not sure about the answer then you can check the answer using Show Answer button. You can use Next Quiz button to check new set of questions in the quiz.

Questions and Answers

Q 1 - Divide 55 ÷ 8. Give the quotient and remainder

A - 6 R 5

B - 6 R 7

C - 7 R 3

D - 7 R 4

Answer : B

Explanation

Multiply and Divide Whole Numbers

Q 2 - Divide 67 ÷ 9. Give the quotient and remainder

A - 6 R 1

B - 6 R 2

C - 7 R 3

D - 7 R 4

Answer : D

Explanation

Multiply and Divide Whole Numbers

Q 3 - Divide 52 ÷ 7. Give the quotient and remainder

A - 6 R 1

B - 6 R 2

C - 7 R 3

D - 7 R 4

Answer : C

Explanation

Multiply and Divide Whole Numbers

Q 4 - Divide 72 ÷ 8. Give the quotient and remainder

A - 8 R 1

B - 9 R 0

C - 9 R 1

D - 9 R 4

Answer : B

Explanation

Multiply and Divide Whole Numbers

Q 5 - Divide 64 ÷ 7. Give the quotient and remainder

A - 8 R 1

B - 8 R 2

C - 9 R 1

D - 9 R 4

Answer : C

Explanation

Multiply and Divide Whole Numbers

Q 6 - Divide 49 ÷ 6. Give the quotient and remainder

A - 8 R 1

B - 8 R 2

C - 8 R 3

D - 8 R 4

Answer : A

Explanation

Multiply and Divide Whole Numbers

Q 7 - Divide 47 ÷ 5. Give the quotient and remainder

A - 9 R 1

B - 9 R 2

C - 9 R 3

D - 9 R 4

Answer : B

Explanation

Multiply and Divide Whole Numbers

Q 8 - Divide 51 ÷ 8. Give the quotient and remainder

A - 6 R 1

B - 6 R 3

C - 6 R 5

D - 6 R 7

Answer : B

Explanation

Multiply and Divide Whole Numbers

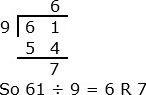
Q 9 - Divide 61 ÷ 9. Give the quotient and remainder

A - 6 R 1

B - 6 R 3

C - 6 R 5

D - 6 R 7

Answer : D

Explanation

Multiply and Divide Whole Numbers

Q 10 - Divide 39 ÷ 6. Give the quotient and remainder

A - 6 R 1

B - 6 R 2

C - 6 R 3

D - 6 R 4

Answer : C

Explanation

Multiply and Divide Whole Numbers
quotient_and_remainder_problem_type1.htm
Advertisements