Article Categories
- All Categories
-
Data Structure
-
Networking
-
RDBMS
-
Operating System
-
Java
-
MS Excel
-
iOS
-
HTML
-
CSS
-
Android
-
Python
-
C Programming
-
C++
-
C#
-
MongoDB
-
MySQL
-
Javascript
-
PHP
-
Economics & Finance
Selected Reading
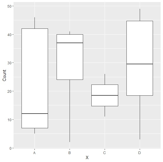
How to create a boxplot using ggplot2 with aes_string in R?
To create a boxplot using ggplot2 with aes_string in R, we can follow the below steps −
- First of all, create a data frame with one string and one numerical column.
- Then, use aes_string function of ggplot2 package to create the boxplot.
Create the data frame
Let's create a data frame as shown below −
X<-sample(LETTERS[1:4],20,replace=TRUE) Count<-sample(1:50,20) df<-data.frame(X,Count) df
On executing, the above script generates the below output(this output will vary on your system due to randomization) −
X Count 1 A 12 2 B 41 3 A 5 4 A 42 5 C 26 6 D 14 7 D 20 8 B 37 9 A 46 10 D 31 11 A 7 12 D 28 13 B 40 14 D 47 15 D 49 16 D 3 17 C 11 18 D 44 19 B 24 20 B 2
Create the boxplot
Loading ggplot2 package and creating boxplot using aes_string function −
X<-sample(LETTERS[1:4],20,replace=TRUE) Count<-sample(1:50,20) df<-data.frame(X,Count) library(ggplot2) ggplot(data=df,aes_string(x="X",y="Count"))+geom_boxplot()
Output

Advertisements
