Article Categories
- All Categories
-
Data Structure
-
Networking
-
RDBMS
-
Operating System
-
Java
-
MS Excel
-
iOS
-
HTML
-
CSS
-
Android
-
Python
-
C Programming
-
C++
-
C#
-
MongoDB
-
MySQL
-
Javascript
-
PHP
-
Economics & Finance
How to change the abline colour created using ggplot2 in R?
To change the abline color created using ggplot2 in R, we can follow the below steps −
First of all, create a data frame.
Then, use ggplot2 to create the regression line with given slope and intercept.
After that, create the same plot with colour argument to change the abline colour.
Example
Create the data frame
Let’s create a data frame as shown below −
x<-rnorm(25) y<-rnorm(25) df<-data.frame(x,y) df
Output
On executing, the above script generates the below output(this output will vary on your system due to randomization) −
x y 1 -0.51902492 -0.79354642 2 -0.42864943 -0.25896843 3 0.57382031 0.95552909 4 -1.68136435 0.19044111 5 -0.69830456 -0.01767888 6 -0.76028497 -0.19016998 7 -0.16044373 0.30392163 8 -1.30390581 0.00911881 9 -0.92685295 -0.63172007 10 2.05518766 -0.70310776 11 0.40343320 1.14764580 12 -1.01411102 0.29829312 13 -0.39075157 0.06896220 14 1.71747493 0.18522334 15 0.73520133 -0.01642746 16 0.19556420 0.55860325 17 -1.45367281 0.01375643 18 -2.42102756 0.63214669 19 0.16466908 -1.25939472 20 -0.88376161 -1.02222998 21 -0.68787689 -0.85754925 22 -0.33156054 0.38232947 23 0.14147640 -0.04030800 24 0.39239316 -0.46167568 25 -0.09390706 -0.27455582
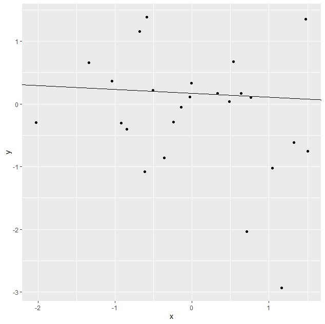
Create the regression line plot
Using ggplot2 to create the regression line with given slope and intercept as shown below −
x<-rnorm(25) y<-rnorm(25) df<-data.frame(x,y) library(ggplot2) ggplot(df,aes(x,y))+geom_point()+geom_abline(slope=-0.062712, intercept=0.165886)
Output

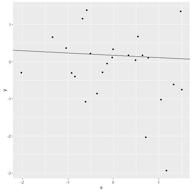
Create the regression line plot with different line colour
Using ggplot2 to create the regression line with given slope and intercept having different line colour as shown below −
x<-rnorm(25) y<-rnorm(25) df<-data.frame(x,y) library(ggplot2) ggplot(df,aes(x,y))+geom_point()+geom_abline(slope=-0.062712, intercept=0.165886,colour="green")
Output

