
- Home
- Basics of Algorithms
- DAA - Introduction to Algorithms
- DAA - Analysis of Algorithms
- DAA - Methodology of Analysis
- DAA - Asymptotic Notations & Apriori Analysis
- DAA - Time Complexity
- DAA - Master's Theorem
- DAA - Space Complexities
- Divide & Conquer
- DAA - Divide & Conquer Algorithm
- DAA - Max-Min Problem
- DAA - Merge Sort Algorithm
- DAA - Strassen's Matrix Multiplication
- DAA - Karatsuba Algorithm
- DAA - Towers of Hanoi
- Greedy Algorithms
- DAA - Greedy Algorithms
- DAA - Travelling Salesman Problem
- DAA - Prim's Minimal Spanning Tree
- DAA - Kruskal's Minimal Spanning Tree
- DAA - Dijkstra's Shortest Path Algorithm
- DAA - Map Colouring Algorithm
- DAA - Fractional Knapsack
- DAA - Job Sequencing with Deadline
- DAA - Optimal Merge Pattern
- Dynamic Programming
- DAA - Dynamic Programming
- DAA - Matrix Chain Multiplication
- DAA - Floyd Warshall Algorithm
- DAA - 0-1 Knapsack Problem
- DAA - Longest Common Subsequence Algorithm
- DAA - Travelling Salesman Problem using Dynamic Programming
- Randomized Algorithms
- DAA - Randomized Algorithms
- DAA - Randomized Quick Sort Algorithm
- DAA - Karger's Minimum Cut Algorithm
- DAA - Fisher-Yates Shuffle Algorithm
- Approximation Algorithms
- DAA - Approximation Algorithms
- DAA - Vertex Cover Problem
- DAA - Set Cover Problem
- DAA - Travelling Salesperson Approximation Algorithm
- Sorting Techniques
- DAA - Bubble Sort Algorithm
- DAA - Insertion Sort Algorithm
- DAA - Selection Sort Algorithm
- DAA - Shell Sort Algorithm
- DAA - Heap Sort Algorithm
- DAA - Bucket Sort Algorithm
- DAA - Counting Sort Algorithm
- DAA - Radix Sort Algorithm
- DAA - Quick Sort Algorithm
- Searching Techniques
- DAA - Searching Techniques Introduction
- DAA - Linear Search
- DAA - Binary Search
- DAA - Interpolation Search
- DAA - Jump Search
- DAA - Exponential Search
- DAA - Fibonacci Search
- DAA - Sublist Search
- DAA - Hash Table
- Graph Theory
- DAA - Shortest Paths
- DAA - Multistage Graph
- DAA - Optimal Cost Binary Search Trees
- Heap Algorithms
- DAA - Binary Heap
- DAA - Insert Method
- DAA - Heapify Method
- DAA - Extract Method
- Complexity Theory
- DAA - Deterministic vs. Nondeterministic Computations
- DAA - Max Cliques
- DAA - Vertex Cover
- DAA - P and NP Class
- DAA - Cook's Theorem
- DAA - NP Hard & NP-Complete Classes
- DAA - Hill Climbing Algorithm
- DAA Useful Resources
- DAA - Quick Guide
- DAA - Useful Resources
- DAA - Discussion
Vertex Cover
Vertex Cover
A vertex-cover of an undirected graph G = (V, E) is a subset of vertices V' ⊆ V such that if edge (u, v) is an edge of G, then either u in V or v in V' or both.
Find a vertex-cover of maximum size in a given undirected graph. This optimal vertexcover is the optimization version of an NP-complete problem. However, it is not too hard to find a vertex-cover that is near optimal.
APPROX-VERTEX_COVER (G: Graph) c ← { } E' ← E[G] while E' is not empty do Let (u, v) be an arbitrary edge of E' c ← c U {u, v} Remove from E' every edge incident on either u or v return c
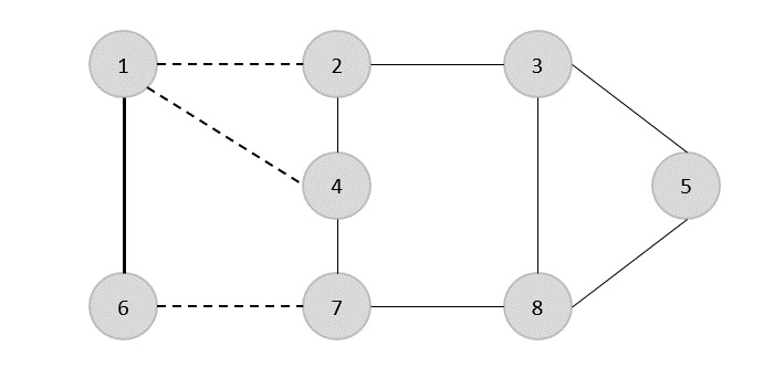
Example
The set of edges of the given graph is −
{(1,6),(1,2),(1,4),(2,3),(2,4),(6,7),(4,7),(7,8),(3,8),(3,5),(8,5)}

Now, we start by selecting an arbitrary edge (1,6). We eliminate all the edges, which are either incident to vertex 1 or 6 and we add edge (1,6) to cover.

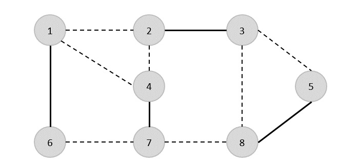
In the next step, we have chosen another edge (2,3) at random

Now we select another edge (4,7).

We select another edge (8,5).

Hence, the vertex cover of this graph is {1,2,4,5}.
Analysis
It is easy to see that the running time of this algorithm is O(V + E), using adjacency list to represent E'.
Implementation
Following are the implementations of the above approach in various programming languages −
#include <stdio.h> #include <stdbool.h> #define MAX_VERTICES 100 int graph[MAX_VERTICES][MAX_VERTICES]; bool included[MAX_VERTICES]; // Function to find Vertex Cover using the APPROX-VERTEX_COVER algorithm void approxVertexCover(int vertices, int edges) { bool edgesRemaining[MAX_VERTICES][MAX_VERTICES]; for (int i = 0; i < vertices; i++) { for (int j = 0; j < vertices; j++) { edgesRemaining[i][j] = graph[i][j]; } } while (edges > 0) { int u, v; for (int i = 0; i < vertices; i++) { for (int j = 0; j < vertices; j++) { if (edgesRemaining[i][j]) { u = i; v = j; break; } } } included[u] = included[v] = true; for (int i = 0; i < vertices; i++) { edgesRemaining[u][i] = edgesRemaining[i][u] = false; edgesRemaining[v][i] = edgesRemaining[i][v] = false; } edges--; } } int main() { int vertices = 8; int edges = 10; int edgesData[10][2] = {{1, 6}, {1, 2}, {1, 4}, {2, 3}, {2, 4}, {6, 7}, {4, 7}, {7, 8}, {3, 5}, {8, 5}}; for (int i = 0; i < edges; i++) { int u = edgesData[i][0]; int v = edgesData[i][1]; graph[u][v] = graph[v][u] = 1; } approxVertexCover(vertices, edges); printf("Vertex Cover: "); for (int i = 1; i <= vertices; i++) { if (included[i]) { printf("%d ", i); } } printf("\n"); return 0; }
Output
Vertex Cover: 1 3 4 5 6 7
#include <iostream> #include <vector> using namespace std; const int MAX_VERTICES = 100; vector<vector<int>> graph(MAX_VERTICES, vector<int>(MAX_VERTICES, 0)); vector<bool> included(MAX_VERTICES, false); // Function to find Vertex Cover using the APPROX-VERTEX_COVER algorithm void approxVertexCover(int vertices, int edges) { vector<vector<bool>> edgesRemaining(vertices, vector<bool>(vertices, false)); for (int i = 0; i < vertices; i++) { for (int j = 0; j < vertices; j++) { edgesRemaining[i][j] = graph[i][j]; } } while (edges > 0) { int u, v; for (int i = 0; i < vertices; i++) { for (int j = 0; j < vertices; j++) { if (edgesRemaining[i][j]) { u = i; v = j; break; } } } included[u] = included[v] = true; for (int i = 0; i < vertices; i++) { edgesRemaining[u][i] = edgesRemaining[i][u] = false; edgesRemaining[v][i] = edgesRemaining[i][v] = false; } edges--; } } int main() { int vertices = 8; int edges = 10; int edgesData[10][2] = {{1, 6}, {1, 2}, {1, 4}, {2, 3}, {2, 4}, {6, 7}, {4, 7}, {7, 8}, {3, 5}, {8, 5}}; for (int i = 0; i < edges; i++) { int u = edgesData[i][0]; int v = edgesData[i][1]; graph[u][v] = graph[v][u] = 1; } approxVertexCover(vertices, edges); cout << "Vertex Cover: "; for (int i = 1; i <= vertices; i++) { if (included[i]) { cout << i << " "; } } cout << endl; return 0; }
Output
Vertex Cover: 1 3 4 5 6 7
import java.util.Arrays; public class VertexCoverProblem { static final int MAX_VERTICES = 100; static int[][] graph = new int[MAX_VERTICES][MAX_VERTICES]; static boolean[] included = new boolean[MAX_VERTICES]; // Function to find Vertex Cover using the APPROX-VERTEX_COVER algorithm static void approxVertexCover(int vertices, int edges) { int[][] edgesRemaining = new int[vertices][vertices]; for (int i = 0; i < vertices; i++) { edgesRemaining[i] = Arrays.copyOf(graph[i], vertices); } while (edges > 0) { int u = -1, v = -1; for (int i = 0; i < vertices; i++) { for (int j = 0; j < vertices; j++) { if (edgesRemaining[i][j] == 1) { u = i; v = j; break; } } } // Check if there are no more edges remaining if (u == -1 || v == -1) { break; } included[u] = included[v] = true; for (int i = 0; i < vertices; i++) { edgesRemaining[u][i] = edgesRemaining[i][u] = 0; edgesRemaining[v][i] = edgesRemaining[i][v] = 0; } edges--; } } public static void main(String[] args) { int vertices = 8; int edges = 10; int[][] edgesData ={{1, 6}, {1, 2}, {1, 4}, {2, 3}, {2, 4}, {6, 7}, {4, 7}, {7, 8}, {3, 5}, {8, 5}}; for (int i = 0; i < edges; i++) { int u = edgesData[i][0]; int v = edgesData[i][1]; graph[u][v] = graph[v][u] = 1; } approxVertexCover(vertices, edges); System.out.print("Vertex Cover: "); for (int i = 1; i <= vertices; i++) { if (included[i]) { System.out.print(i + " "); } } System.out.println(); } }
Output
Vertex Cover: 1 3 4 5 6 7
MAX_VERTICES = 100 graph = [[0 for _ in range(MAX_VERTICES)] for _ in range(MAX_VERTICES)] included = [False for _ in range(MAX_VERTICES)] # Function to find Vertex Cover using the APPROX-VERTEX_COVER algorithm def approx_vertex_cover(vertices, edges): edges_remaining = [row[:] for row in graph] while edges > 0: for i in range(vertices): for j in range(vertices): if edges_remaining[i][j]: u = i v = j break included[u] = included[v] = True for i in range(vertices): edges_remaining[u][i] = edges_remaining[i][u] = False edges_remaining[v][i] = edges_remaining[i][v] = False edges -= 1 if __name__ == "__main__": vertices = 8 edges = 10 edges_data = [(1, 6), (1, 2), (1, 4), (2, 3), (2, 4), (6, 7), (4, 7), (7, 8), (3, 5), (8, 5)] for u, v in edges_data: graph[u][v] = graph[v][u] = 1 approx_vertex_cover(vertices, edges) print("Vertex Cover:", end=" ") for i in range(1, vertices + 1): if included[i]: print(i, end=" ") print()
Output
Vertex Cover: 1 3 4 5 6 7