Article Categories
- All Categories
-
Data Structure
-
Networking
-
RDBMS
-
Operating System
-
Java
-
MS Excel
-
iOS
-
HTML
-
CSS
-
Android
-
Python
-
C Programming
-
C++
-
C#
-
MongoDB
-
MySQL
-
Javascript
-
PHP
-
Economics & Finance
Selected Reading
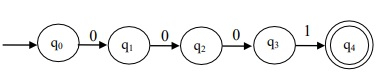
Design a DFA accepting stringw so that the second symbol is zero and fourth is 1
Problem
Construct DFA which accepts a string that contains second symbol is zero and fourth symbol is 1 over an alphabet ∑={0,1}.
Solution
Input − 00110
Output is accepted; because in the given string the second symbol is ‘0’ and the fourth symbol is ‘1’.
Input − 11001
Output − string is not accepted, because the second symbol is not ‘0’.
Design DFA step by step as given below −
Step 1 -

Valid inputs − 0001
Step 2 -

Valid input − 1001
Step 3 -

Valid inputs − 0011, 1011
Step 4 -

Valid inputs − 00010, 10010, 00110, 00011, 10011, 00111, …
Step 5 -

Invalid inputs − 0101, 0100, 0010, 1100, 0000, 1000, …
Step 6 -

Valid inputs − 01010, 01000, 11111, 0100000, …
Advertisements
