Data Structure
Networking
RDBMS
Operating System
Java
MS Excel
iOS
HTML
CSS
Android
Python
C Programming
C++
C#
MongoDB
MySQL
Javascript
PHP
- Selected Reading
- UPSC IAS Exams Notes
- Developer's Best Practices
- Questions and Answers
- Effective Resume Writing
- HR Interview Questions
- Computer Glossary
- Who is Who
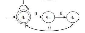
Design a DFA accepting a language L having number of zeros in multiples of 3
Problem
Construct a deterministic finite automata (DFA) that accepts a language L which has the number of zero’s is of multiple of 3 over an alphabet ∑=”{0,1}.
Solution
If input is: 000 Output is: string is accepted
Because here the number of zero’s is multiple of 3.
Designing DFA
In order to construct the DFA, follow the below mentioned steps −
Step 1 -

Valid inputs: 000, 000000, 09 , 012 , …
Step 2 -

Valid inputs: 1, 1000, 100000, …
Step 3 -

Valid inputs: 10100, 11000, 101100, …
Step 4 -

101010, 1101010, 1101110110, …
Invalid inputs − 0,00,10000,01011, …
Advertisements