Article Categories
- All Categories
-
Data Structure
-
Networking
-
RDBMS
-
Operating System
-
Java
-
MS Excel
-
iOS
-
HTML
-
CSS
-
Android
-
Python
-
C Programming
-
C++
-
C#
-
MongoDB
-
MySQL
-
Javascript
-
PHP
-
Economics & Finance
Selected Reading
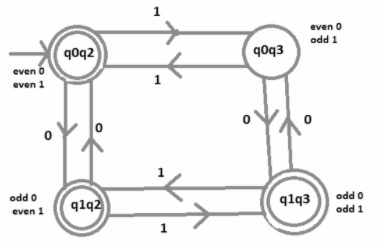
Design a DFA machine accepting odd numbers of 0's or even numbers of 1's
A Deterministic Finite automaton (DFA) is a five tuples
M=(Q, Σ, δ,q0,F)
Where,
- Q : Finite set called states.
- Σ : Finite set called alphabets.
- δ : Q × Σ → Q is the transition function.
- q0 ? Q is the start or initial state.
- F : Final or accept state.
Problem
Construct a DFA machine accepting odd numbers of 0’s or even numbers of 1’s.
Solution
Design two separate machines for the two conditions over an alphabet Σ={0,1} −
DFA accepting only odd number of 0’s
DFA accepting only even number of 1’s
DFA accepting only odd number of 1’s over an alphabet Σ={0,1}
The language L= {1,10,1110,1011,10101,100101,….}

DFA accepting only even number of 1’s over an alphabet Σ={0,1}
The language L= {11,101,11110,10111,101101,1001011,….}

Now merge two transition diagrams to generate a machine accepting odd number of 0’s or even number of 1’s

Advertisements
