
- Place Value, Ordering and Rounding
- Home
- Decimal Place Value: Tenths and Hundredths
- Decimal Place Value: Hundreds to Ten Thousandths
- Writing a Decimal Number Less Than 1 Given its Name
- Writing a Decimal Number Greater Than 1 Given its Name
- Writing a Decimal Number Given its Name: Advanced
- Reading Decimal Position on a Number Line: Tenths
- Reading Decimal Position on a Number Line: Hundredths
- Introduction to Ordering Decimals
- Ordering Decimals
- Rounding Decimals
Reading Decimal Position on a Number Line: Tenths Online Quiz
Following quiz provides Multiple Choice Questions (MCQs) related to Reading Decimal Position on a Number Line: Tenths. You will have to read all the given answers and click over the correct answer. If you are not sure about the answer then you can check the answer using Show Answer button. You can use Next Quiz button to check new set of questions in the quiz.

Answer : B
Explanation
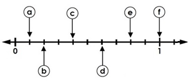
The number line is divided into tenths between 0 and 1
The letter b on the number line points to the decimal two tenths or 0.2
Answer : C
Explanation
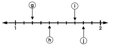
The number line is divided into tenths between 1 and 2
The letter h on the number line points to the decimal one and four tenths or 1.4
Answer : A
Explanation
The number line is divided into tenths between 0 and 1
The letter e on the number line points to the decimal eight tenths or 0.8
Answer : D
Explanation
The number line is divided into tenths between 1 and 2
The letter j on the number line points to the decimal one and eight tenths or 1.8
Answer : A
Explanation
The number line is divided into tenths between 0 and 1
The letter c on the number line points to the decimal four tenths or 0.4
Answer : B
Explanation
The number line is divided into tenths between 0 and 1
The letter a on the number line points to the decimal one tenths or 0.1
Answer : C
Explanation
The number line is divided into tenths between 1 and 2
The letter g on the number line points to the decimal one and two tenths or 1.2
Answer : D
Explanation
The number line is divided into tenths between 0 and 1
The letter d on the number line points to the decimal six tenths or 0.6
Answer : C
Explanation
The number line is divided into tenths between 1 and 2
The letter i on the number line points to the decimal one and seven tenths or 1.7
Answer : A
Explanation
The number line is divided into tenths between 0 and 1
The letter f on the number line points to the decimal ten tenths or 1.0