
- Place Value, Ordering and Rounding
- Home
- Decimal Place Value: Tenths and Hundredths
- Decimal Place Value: Hundreds to Ten Thousandths
- Writing a Decimal Number Less Than 1 Given its Name
- Writing a Decimal Number Greater Than 1 Given its Name
- Writing a Decimal Number Given its Name: Advanced
- Reading Decimal Position on a Number Line: Tenths
- Reading Decimal Position on a Number Line: Hundredths
- Introduction to Ordering Decimals
- Ordering Decimals
- Rounding Decimals
Reading Decimal Position on a Number Line Hundredths Online Quiz
Following quiz provides Multiple Choice Questions (MCQs) related to Reading Decimal Position on a Number Line Hundredths. You will have to read all the given answers and click over the correct answer. If you are not sure about the answer then you can check the answer using Show Answer button. You can use Next Quiz button to check new set of questions in the quiz.

Answer : B
Explanation
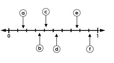
Step 1:
The number line is divided into hundredths between 0 and 1
Step 2:
The letter b on the number line points to the decimal thirty-five hundredths or 0.35
Answer : A
Explanation
Step 1:
The number line is divided into hundredths between 1 and 2
Step 2:
The letter i on the number line points to the decimal one and fifty-seven hundredths or 1.57
Answer : D
Explanation
Step 1:
The number line is divided into hundredths between 0 and 1
Step 2:
The letter c on the number line points to the decimal forty-two hundredths or 0.42
Answer : C
Explanation
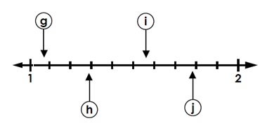
Step 1:
The number line is divided into hundredths between 1 and 2
Step 2:
The letter g on the number line points to the decimal one and eight hundredths or 1.08
Answer : A
Explanation
Step 1:
The number line is divided into hundredths between 0 and 1
Step 2:
The letter e on the number line points to the decimal seventy-eight hundredths or 0.78
Answer : C
Explanation
Step 1:
The number line is divided into hundredths between 1 and 2
Step 2:
The letter j on the number line points to the decimal one and seventy-nine hundredths or 1.79
Answer : B
Explanation
Step 1:
The number line is divided into hundredths between 0 and 1
Step 2:
The letter a on the number line points to the decimal sixteen hundredths or 0.16
Answer : D
Explanation
Step 1:
The number line is divided into hundredths between 1 and 2
Step 2:
The letter h on the number line points to the decimal one and twenty-nine hundredths or 1.29
Answer : A
Explanation
Step 1:
The number line is divided into hundredths between 0 and 1
Step 2:
The letter d on the number line points to the decimal fifty-four hundredths or 0.54
Answer : C
Explanation
Step 1:
The number line is divided into hundredths between 0 and 1
Step 2:
The letter f on the number line points to the decimal ninety-one hundredths or 0.91