- DSA - Home
- DSA - Overview
- DSA - Environment Setup
- DSA - Algorithms Basics
- DSA - Asymptotic Analysis
- Data Structures
- DSA - Data Structure Basics
- DSA - Data Structures and Types
- DSA - Array Data Structure
- DSA - Skip List Data Structure
- Linked Lists
- DSA - Linked List Data Structure
- DSA - Doubly Linked List Data Structure
- DSA - Circular Linked List Data Structure
- Stack & Queue
- DSA - Stack Data Structure
- DSA - Expression Parsing
- DSA - Queue Data Structure
- DSA - Circular Queue Data Structure
- DSA - Priority Queue Data Structure
- DSA - Deque Data Structure
- Searching Algorithms
- DSA - Searching Algorithms
- DSA - Linear Search Algorithm
- DSA - Binary Search Algorithm
- DSA - Interpolation Search
- DSA - Jump Search Algorithm
- DSA - Exponential Search
- DSA - Fibonacci Search
- DSA - Sublist Search
- DSA - Hash Table
- Sorting Algorithms
- DSA - Sorting Algorithms
- DSA - Bubble Sort Algorithm
- DSA - Insertion Sort Algorithm
- DSA - Selection Sort Algorithm
- DSA - Merge Sort Algorithm
- DSA - Shell Sort Algorithm
- DSA - Heap Sort Algorithm
- DSA - Bucket Sort Algorithm
- DSA - Counting Sort Algorithm
- DSA - Radix Sort Algorithm
- DSA - Quick Sort Algorithm
- Matrices Data Structure
- DSA - Matrices Data Structure
- DSA - Lup Decomposition In Matrices
- DSA - Lu Decomposition In Matrices
- Graph Data Structure
- DSA - Graph Data Structure
- DSA - Depth First Traversal
- DSA - Breadth First Traversal
- DSA - Spanning Tree
- DSA - Topological Sorting
- DSA - Strongly Connected Components
- DSA - Biconnected Components
- DSA - Augmenting Path
- DSA - Network Flow Problems
- DSA - Flow Networks In Data Structures
- DSA - Edmonds Blossom Algorithm
- DSA - Maxflow Mincut Theorem
- Tree Data Structure
- DSA - Tree Data Structure
- DSA - Tree Traversal
- DSA - Binary Search Tree
- DSA - AVL Tree
- DSA - Red Black Trees
- DSA - B Trees
- DSA - B+ Trees
- DSA - Splay Trees
- DSA - Range Queries
- DSA - Segment Trees
- DSA - Fenwick Tree
- DSA - Fusion Tree
- DSA - Hashed Array Tree
- DSA - K-Ary Tree
- DSA - Kd Trees
- DSA - Priority Search Tree Data Structure
- Recursion
- DSA - Recursion Algorithms
- DSA - Tower of Hanoi Using Recursion
- DSA - Fibonacci Series Using Recursion
- Divide and Conquer
- DSA - Divide and Conquer
- DSA - Max-Min Problem
- DSA - Strassen's Matrix Multiplication
- DSA - Karatsuba Algorithm
- Greedy Algorithms
- DSA - Greedy Algorithms
- DSA - Travelling Salesman Problem (Greedy Approach)
- DSA - Prim's Minimal Spanning Tree
- DSA - Kruskal's Minimal Spanning Tree
- DSA - Dijkstra's Shortest Path Algorithm
- DSA - Map Colouring Algorithm
- DSA - Fractional Knapsack Problem
- DSA - Job Sequencing with Deadline
- DSA - Optimal Merge Pattern Algorithm
- Dynamic Programming
- DSA - Dynamic Programming
- DSA - Matrix Chain Multiplication
- DSA - Floyd Warshall Algorithm
- DSA - 0-1 Knapsack Problem
- DSA - Longest Common Sub-sequence Algorithm
- DSA - Travelling Salesman Problem (Dynamic Approach)
- Hashing
- DSA - Hashing Data Structure
- DSA - Collision In Hashing
- Disjoint Set
- DSA - Disjoint Set
- DSA - Path Compression And Union By Rank
- Heap
- DSA - Heap Data Structure
- DSA - Binary Heap
- DSA - Binomial Heap
- DSA - Fibonacci Heap
- Tries Data Structure
- DSA - Tries
- DSA - Standard Tries
- DSA - Compressed Tries
- DSA - Suffix Tries
- Treaps
- DSA - Treaps Data Structure
- Bit Mask
- DSA - Bit Mask In Data Structures
- Bloom Filter
- DSA - Bloom Filter Data Structure
- Approximation Algorithms
- DSA - Approximation Algorithms
- DSA - Vertex Cover Algorithm
- DSA - Set Cover Problem
- DSA - Travelling Salesman Problem (Approximation Approach)
- Randomized Algorithms
- DSA - Randomized Algorithms
- DSA - Randomized Quick Sort Algorithm
- DSA - Karger’s Minimum Cut Algorithm
- DSA - Fisher-Yates Shuffle Algorithm
- Miscellaneous
- DSA - Infix to Postfix
- DSA - Bellmon Ford Shortest Path
- DSA - Maximum Bipartite Matching
- DSA Useful Resources
- DSA - Questions and Answers
- DSA - Selection Sort Interview Questions
- DSA - Merge Sort Interview Questions
- DSA - Insertion Sort Interview Questions
- DSA - Heap Sort Interview Questions
- DSA - Bubble Sort Interview Questions
- DSA - Bucket Sort Interview Questions
- DSA - Radix Sort Interview Questions
- DSA - Cycle Sort Interview Questions
- DSA - Quick Guide
- DSA - Useful Resources
- DSA - Discussion
M-Coloring Problem
What is M-Coloring Problem?
In the M-Coloring problem, our task is to find if it is possible to assign nodes of a given graph with m different colors, such that no two adjacent vertices of the graph are of the same colors. If a solution exists, then display which color is assigned to each vertex. The m-coloring problem is practically used to solve problems like clustering, scheduling, job allocation problems and many more.
A graph is an abstract data type (ADT) consisting of a set of objects that are connected via links.
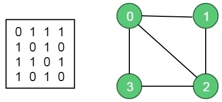
Input Output Scenario
Suppose the given undirected graph G(V, E) and its adjacency matrix are as follows −
Let the maximum color m = 3, which indicates the maximum number of colors that can be used. The backtracking algorithm can be used to solve the m-coloring problem for the above graph. This algorithm will return which node will be assigned with which color. If the solution is not possible, it will return false.
For this case, the output should be Node 0 -> color 1, Node 1 -> color 2, Node 2 -> color 3, Node 3 -> color 2. The figure below illustrates the same −
Solving M-Coloring Problem using Backtracking Approach
The naive way to solve m-coloring problem is by generating all possible combinations of vertices with colors and checking if any combination satisfies the given constraints. However, this approach is inefficient for larger graphs.
To solve m-coloring problem using the backtracking approach, follow the below steps −
Starting from vertex 0, we will try to assign colors one by one to different nodes.
However, before assigning, we have to check whether the color is safe or not. Color is not safe when adjacent vertices contain the same color.
Next, we will check if is there any color assignment that satisfies the constraint. If it does, we mark that assignment as a solution to the m-coloring problem.
Example
In the following example, we will illustrate how to solve the m-coloring problem in a given undirected graph.
#include <stdio.h>
#include <stdlib.h>
#include <stdbool.h>
#define V 4
bool graph[V][V] = {
{0, 1, 1, 1},
{1, 0, 1, 0},
{1, 1, 0, 1},
{1, 0, 1, 0}
};
void showColors(int color[]) {
printf("Assigned Colors are:\n");
for (int i = 0; i < V; i++)
printf("%d ", color[i]);
printf("\n");
}
//check whether putting a color valid for v
bool isValid(int v, int color[], int c) {
for (int i = 0; i < V; i++)
if (graph[v][i] && c == color[i])
return false;
return true;
}
bool graphColoring(int colors, int color[], int vertex) {
//when all vertices are considered
if (vertex == V)
return true;
for (int col = 1; col <= colors; col++) {
//check whether color is valid or not
if (isValid(vertex, color, col)) {
color[vertex] = col;
// go for additional vertices
if (graphColoring(colors, color, vertex + 1))
return true;
color[vertex] = 0;
}
}
//when no colors can be assigned
return false;
}
bool checkSolution(int m) {
//make color matrix for each vertex
int *color = (int *)malloc(V * sizeof(int));
for (int i = 0; i < V; i++)
//initially set to 0
color[i] = 0;
//for vertex 0 check graph coloring
if (graphColoring(m, color, 0) == false) {
printf("Solution does not exist.\n");
free(color);
return false;
}
showColors(color);
free(color);
return true;
}
int main() {
// Number of colors
int colors = 3;
checkSolution(colors);
return 0;
}
#include<iostream>
#define V 4
using namespace std;
bool graph[V][V] = {
{0, 1, 1, 1},
{1, 0, 1, 0},
{1, 1, 0, 1},
{1, 0, 1, 0},
};
void showColors(int color[]) {
cout << "Assigned Colors are: " <<endl;
for (int i = 0; i < V; i++)
cout << color[i] << " ";
cout << endl;
}
//check whether putting a color valid for v
bool isValid(int v,int color[], int c) {
for (int i = 0; i < V; i++)
if (graph[v][i] && c == color[i])
return false;
return true;
}
bool graphColoring(int colors, int color[], int vertex) {
//when all vertices are considered
if (vertex == V)
return true;
for (int col = 1; col <= colors; col++) {
//check whether color is valid or not
if (isValid(vertex,color, col)) {
color[vertex] = col;
// go for additional vertices
if (graphColoring (colors, color, vertex+1) == true)
return true;
color[vertex] = 0;
}
}
//when no colors can be assigned
return false;
}
bool checkSolution(int m) {
//make color matrix for each vertex
int *color = new int[V];
for (int i = 0; i < V; i++)
//initially set to 0
color[i] = 0;
//for vertex 0 check graph coloring
if (graphColoring(m, color, 0) == false) {
cout << "Solution does not exist.";
return false;
}
showColors(color);
return true;
}
int main() {
// Number of colors
int colors = 3;
checkSolution (colors);
}
public class GraphColoring {
static final int V = 4;
static boolean[][] graph = {
{false, true, true, true},
{true, false, true, false},
{true, true, false, true},
{true, false, true, false}
};
static void showColors(int[] color) {
System.out.println("Assigned Colors are:");
for (int i = 0; i < V; i++) {
System.out.print(color[i] + " ");
}
System.out.println();
}
//check whether putting a color valid for v
static boolean isValid(int v, int[] color, int c) {
for (int i = 0; i < V; i++) {
if (graph[v][i] && c == color[i]) {
return false;
}
}
return true;
}
static boolean graphColoring(int colors, int[] color, int vertex) {
//when all vertices are considered
if (vertex == V) {
return true;
}
for (int col = 1; col <= colors; col++) {
//check whether color is valid or not
if (isValid(vertex, color, col)) {
color[vertex] = col;
// go for additional vertices
if (graphColoring(colors, color, vertex + 1)) {
return true;
}
color[vertex] = 0;
}
}
//when no colors can be assigned
return false;
}
static boolean checkSolution(int m) {
//make color matrix for each vertex
int[] color = new int[V];
for (int i = 0; i < V; i++) {
//initially set to 0
color[i] = 0;
}
//for vertex 0 check graph coloring
if (!graphColoring(m, color, 0)) {
System.out.println("Solution does not exist.");
return false;
}
showColors(color);
return true;
}
public static void main(String[] args) {
// Number of colors
int colors = 3;
checkSolution(colors);
}
}
V = 4
graph = [
[0, 1, 1, 1],
[1, 0, 1, 0],
[1, 1, 0, 1],
[1, 0, 1, 0]
]
def show_colors(color):
print("Assigned Colors are:")
for i in range(V):
print(color[i], end=" ")
print()
def is_valid(v, color, c):
for i in range(V):
if graph[v][i] and c == color[i]:
return False
return True
def graph_coloring(colors, color, vertex):
if vertex == V:
return True
for col in range(1, colors + 1):
if is_valid(vertex, color, col):
color[vertex] = col
if graph_coloring(colors, color, vertex + 1):
return True
color[vertex] = 0
return False
def check_solution(m):
color = [0] * V
if not graph_coloring(m, color, 0):
print("Solution does not exist.")
return False
show_colors(color)
return True
if __name__ == "__main__":
colors = 3
check_solution(colors)
Output
Assigned Colors are: 1 2 3 2