Article Categories
- All Categories
-
Data Structure
-
Networking
-
RDBMS
-
Operating System
-
Java
-
MS Excel
-
iOS
-
HTML
-
CSS
-
Android
-
Python
-
C Programming
-
C++
-
C#
-
MongoDB
-
MySQL
-
Javascript
-
PHP
-
Economics & Finance
Selected Reading
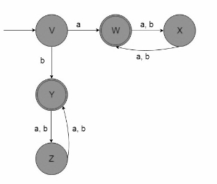
Construct a Finite Automata for the regular expression ((a+b)(a+b))*.
The language for the given regular expression (RE) is as follows −
L={ ε,aa,ab,ba,aaaa,………}

Example
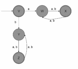
Let the regular expression be ((a+b)(a+b))*(a+b).
Construct the Finite automata for the given regular expression.
First, generate the language for the given Regular Expression −
L={a,d,aaa,bbb,abb,bab,bba,………..}
This is the language of odd length strings
The Finite Automata is as follows −

Advertisements
