Data Structure
Networking
RDBMS
Operating System
Java
MS Excel
iOS
HTML
CSS
Android
Python
C Programming
C++
C#
MongoDB
MySQL
Javascript
PHP
- Selected Reading
- UPSC IAS Exams Notes
- Developer's Best Practices
- Questions and Answers
- Effective Resume Writing
- HR Interview Questions
- Computer Glossary
- Who is Who
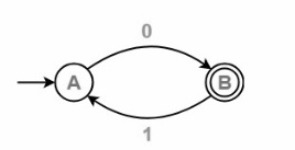
Find the regular expression for the given Finite automata with state elimination method
Problem
Generate RE for a given finite automata by using the state elimination method.
Solution
There are two methods for converting a Deterministic Finite Automata (DFA) to Regular expression (RE).
- Arden's Theorem Method.
- State Elimination Method.
The given automata is as follows−

Step 1
Initial state is A that has an incoming edge.
So, we have to create a new initial state qi as follows−

Step 2
Initial state is B that has an incoming edge.
So, we have to create a new final state qf as given below−

Step 3
Now, try to eliminate all intermediate states one by one.
First eliminate state A
There is a path from state qi to B via A.
So, after eliminating state A, we can connect a direct path from qi to B having cost.
ε.0=0
There is a loop on state B using State A.
So, after eliminating state A, we can draw a direct loop on state B having cost.
1.0=10
After eliminating A, we get the following −

Step 4
Now eliminate State B
There is a path from state qi to qf via state B.
So, after eliminating B, we can draw a direct path from qi to state qf having cost
0.(10)* ε=0(10)*

Final Regular Expression is = 0(10)*