Article Categories
- All Categories
-
Data Structure
-
Networking
-
RDBMS
-
Operating System
-
Java
-
MS Excel
-
iOS
-
HTML
-
CSS
-
Android
-
Python
-
C Programming
-
C++
-
C#
-
MongoDB
-
MySQL
-
Javascript
-
PHP
-
Economics & Finance
Selected Reading
Construct the minimum DFA for any given finite automata.
Problem
Construct a minimum state DFA for the following automata −

Solution
We first construct a transition table for the given finite automata −
| States\inputs | 0 | 1 |
|---|---|---|
| q0 | q1 | q5 |
| q1 | q6 | q2 |
| *q2 | q0 | q2 |
| q3 | q2 | q6 |
| q4 | q7 | q5 |
| q5 | q2 | q6 |
| q6 | q6 | q4 |
| q7 | q6 | q2 |
Q={q0,q1,q2,q3,q4,q5,q6,q7}
Q01={q2} and Q02={q0,q1,q2,q3,q4,q5,q6,q7}
S0={{q2} {q0,q1,q2,q3,q4,q5,q6,q7}}
Consider the set {q0,q1,q2,q3,q4,q5,q6,q7}
{q2} {q0,q1,q3,q5,q6,q7}
{q2} {q0,q4,q6} {q1,q3,q5,q7}
{q2} {q0,q4} {q6} {q1,q3,q5,q7}
{q2}{q0,q4}{q6}{q1,q7}{q3,q5}
The minimized state is as follows −
M1=(Q1, Σ, δ1,q01,F1)
Q1= {[q2],[q0,q4],[q6],[q1,q7],[q3,q5]}
qo1= {[q0,q4]}
F1= {[q2]}
Transition Table
Now the transition table is as follows −
| States\inputs | 0 | 1 |
|---|---|---|
| [q0,q4] | [q1,q7] | [q3,q5] |
| [q6] | [q6] | [q2] |
| [q1,q7] | [q0,q4] | [q2] |
| [q3,q5] | [q2] | [q6] |
| [q2] | [q6] | [q0,q4] |
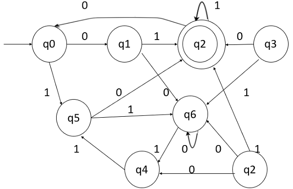
The transition diagram is as follows −

Advertisements
