Data Structure
Networking
RDBMS
Operating System
Java
MS Excel
iOS
HTML
CSS
Android
Python
C Programming
C++
C#
MongoDB
MySQL
Javascript
PHP
- Selected Reading
- UPSC IAS Exams Notes
- Developer's Best Practices
- Questions and Answers
- Effective Resume Writing
- HR Interview Questions
- Computer Glossary
- Who is Who
Biggest Square that can be inscribed within an Equilateral triangle?
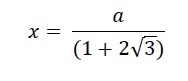
Here we will see the area of the biggest square that can be inscribed in an equilateral triangle. The side of the triangle is ‘a’ and the side of the square is x.

The side of the triangle ‘a’ is −

So x is −

Example
#include <iostream>
#include <cmath>
using namespace std;
float areaSquare(float a) { //a is side of triangle
if (a < 0 ) //if a is negative, then this is invalid
return -1;
float area = a / (1 + 2/sqrt(3));
return area;
}
int main() {
float a = 7;
cout << "Area of Rectangle: " << areaSquare(a);
}
Output
Area of Rectangle: 3.24871
Advertisements