Article Categories
- All Categories
-
Data Structure
-
Networking
-
RDBMS
-
Operating System
-
Java
-
MS Excel
-
iOS
-
HTML
-
CSS
-
Android
-
Python
-
C Programming
-
C++
-
C#
-
MongoDB
-
MySQL
-
Javascript
-
PHP
Selected Reading
Biggest Reuleaux Triangle within A Square?
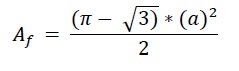
Here we will see the area of biggest Reuleaux triangle inscribed within a square. The side of the square is ‘a’. And the height of the Reuleaux triangle is h.

The height of the Reuleaux triangle is same as a. So a = h. So the area of Reuleaux triangle is −

Example
#include#include using namespace std; float areaReuleaux(float a) { //side of square is a if (a Output
Area of Reuleaux Triangle: 45.1024
Advertisements
