Article Categories
- All Categories
-
Data Structure
-
Networking
-
RDBMS
-
Operating System
-
Java
-
MS Excel
-
iOS
-
HTML
-
CSS
-
Android
-
Python
-
C Programming
-
C++
-
C#
-
MongoDB
-
MySQL
-
Javascript
-
PHP
Program to calculate vertex-to-vertex reachablity matrix in Python
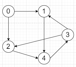
Suppose we have a graph as an adjacency list representation, we have to find 2D matrix M where
M[i, j] = 1 when there is a path between vertices i and j.
M[i, j] = 0 otherwise.
So, if the input is like

then the output will be
| 1 | 1 | 1 | 1 | 1 |
| 0 | 1 | 1 | 1 | 1 |
| 0 | 1 | 1 | 1 | 1 |
| 0 | 1 | 1 | 1 | 1 |
| 0 | 1 | 1 | 1 | 1 |
To solve this, we will follow these steps −
ans:= a 2d matrix of size n x n, where n is the number of vertices, fill with 0s
-
for i in range 0 to n, do
q:= a queue, and insert i at first
-
while q is not empty, do
node:= first element of q, and delete first element from q
-
if ans[i, node] is non-zero, then
go for next iteration
ans[i, node]:= 1
neighbors:= graph[node]
-
for each n in neighbors, do
insert n at the end of q
return ans
Let us see the following implementation to get better understanding −
Example
class Solution: def solve(self, graph): ans=[[0 for _ in graph] for _ in graph] for i in range(len(graph)): q=[i] while q: node=q.pop(0) if ans[i][node]: continue ans[i][node]=1 neighbors=graph[node] for n in neighbors: q.append(n) return ans ob = Solution() adj_list = [[1,2],[4],[4],[1,2],[3]] priunt(ob.solve(adj_list))
Input
[[1,2],[4],[4],[1,2],[3]]
Output
[[1, 1, 1, 1, 1], [0, 1, 1, 1, 1], [0, 1, 1, 1, 1], [0, 1, 1, 1, 1], [0, 1, 1, 1, 1] ]
