Data Structure
Networking
RDBMS
Operating System
Java
MS Excel
iOS
HTML
CSS
Android
Python
C Programming
C++
C#
MongoDB
MySQL
Javascript
PHP
- Selected Reading
- UPSC IAS Exams Notes
- Developer's Best Practices
- Questions and Answers
- Effective Resume Writing
- HR Interview Questions
- Computer Glossary
- Who is Who
Rooted and Binary Tree
Rooted Tree
A rooted tree G is a connected acyclic graph with a special node that is called the root of the tree and every edge directly or indirectly originates from the root. An ordered rooted tree is a rooted tree where the children of each internal vertex are ordered. If every internal vertex of a rooted tree has not more than m children, it is called an m-ary tree. If every internal vertex of a rooted tree has exactly m children, it is called a full m-ary tree. If m = 2, the rooted tree is called a binary tree.

Binary Search Tree
The binary Search tree is a binary tree which satisfies the following property −
- X in left sub-tree of vertex V, Value(X) ≤ Value (V)
- Y in right sub-tree of vertex V, Value(Y) ≥ Value (V)
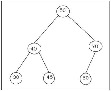
So, the value of all the vertices of the left sub-tree of an internal node V are less than or equal to V and the value of all the vertices of the right sub-tree of the internal node V are greater than or equal to V. The number of links from the root node to the deepest node is the height of the Binary Search Tree.
Example

Algorithm to search for a key in BST
BST_Search(x, k) if ( x = NIL or k = Value[x] ) return x; if ( k < Value[x]) return BST_Search (left[x], k); else return BST_Search (right[x], k)
Complexity of Binary search tree
| Average Case | Worst case | |
|---|---|---|
| Space Complexity | O(n) | O(n) |
| Search Complexity | O(log n) | O(n) |
| Insertion Complexity | O(log n) | O(n) |
| Deletion Complexity | O(log n) | O(n) |