Article Categories
- All Categories
-
Data Structure
-
Networking
-
RDBMS
-
Operating System
-
Java
-
MS Excel
-
iOS
-
HTML
-
CSS
-
Android
-
Python
-
C Programming
-
C++
-
C#
-
MongoDB
-
MySQL
-
Javascript
-
PHP
-
Economics & Finance
Selected Reading
Binary Tree Pruning in C++
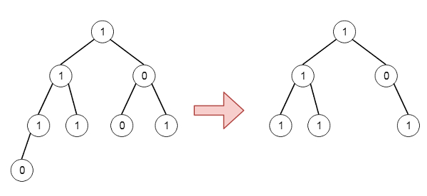
Suppose we have the head node root of a binary tree, where additionally every node's value is either a 0 or a 1. We have to find the same tree where every subtree not containing a 1 has been deleted. So if the tree is like −

To solve this, we will follow these steps −
Define a recursive method solve(), this will take the node. the method will be like −
If node is null, then return null
left of node := solve(left of node)
right of node := solve(right of node)
if left of node is null and right of node is also null and node value is 0, then return null
return node
Let us see the following implementation to get better understanding −
Example
#include <bits/stdc++.h>
using namespace std;
class TreeNode{
public:
int val;
TreeNode *left, *right;
TreeNode(int data){
val = data;
left = NULL;
right = NULL;
}
};
void insert(TreeNode **root, int val){
queue<TreeNode*> q;
q.push(*root);
while(q.size()){
TreeNode *temp = q.front();
q.pop();
if(!temp->left){
temp->left = new TreeNode(val);
return;
}else{
q.push(temp->left);
}
if(!temp->right){
temp->right = new TreeNode(val);
return;
}else{
q.push(temp->right);
}
}
}
TreeNode *make_tree(vector<int> v){
TreeNode *root = new TreeNode(v[0]);
for(int i = 1; i<v.size(); i++){
insert(&root, v[i]);
}
return root;
}
void tree_level_trav(TreeNode*root){
if (root == NULL) return;
cout << "[";
queue<TreeNode *> q;
TreeNode *curr;
q.push(root);
q.push(NULL);
while (q.size() > 1) {
curr = q.front();
q.pop();
if (curr == NULL){
q.push(NULL);
} else {
if(curr->left)
q.push(curr->left);
if(curr->right)
q.push(curr->right);
if(curr == NULL){
cout << "null" << ", ";
}else{
cout << curr->val << ", ";
}
}
}
cout << "]"<<endl;
}
class Solution {
public:
TreeNode* pruneTree(TreeNode* node) {
if(!node)return NULL;
node->left = pruneTree(node->left);
node->right = pruneTree(node->right);
if(!node->left && !node->right && !node->val){
return NULL;
}
return node;
}
};
main(){
vector<int> v = {1,1,0,1,1,0,1,0};
TreeNode *root = make_tree(v);
Solution ob;
tree_level_trav(ob.pruneTree(root));
}
Input
[1,1,0,1,1,0,1,0]
Output
[1, 1, 0, 1, 1, 1, ]
Advertisements
