Data Structure
Networking
RDBMS
Operating System
Java
MS Excel
iOS
HTML
CSS
Android
Python
C Programming
C++
C#
MongoDB
MySQL
Javascript
PHP
- Selected Reading
- UPSC IAS Exams Notes
- Developer's Best Practices
- Questions and Answers
- Effective Resume Writing
- HR Interview Questions
- Computer Glossary
- Who is Who
Program to make a copy of a n-ary tree in Python
Suppose, we have been provided a n-ary tree whose root is given to us 'root'. We have to make a copy of the full n-ary binary tree and perform a preorder traversal of both trees. The copied tree has to be stored using another root node. The node structure of the tree is given below −
Node: value : <integer> children : <array>
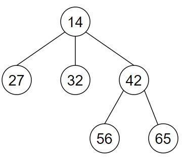
So, if the input is like

, then the output will be
[14, 27, 32, 42, 56, 65]
The preorder representation of the input tree and the output tree will be the same as an exact copy of the tree has been created.
To solve this, we will follow these steps −
-
if root is not empty, then
return root
head := a new node with the value of root
q := a new deque containing elements root and head
-
while q is not empty, do
node := pop the first element from the q
cloned := pop the first element from the q
-
for each chld in node.children, do
new_n := a new node containing the value of chld
append new_n to the children of cloned
insert chld and new_n at the end of q
return head
Example (Python)
Let us see the following implementation to get better understanding −
from queue import deque
class Node:
def __init__(self, value, child = None) -> None:
self.val = value
self.children = []
if child != None:
for value in child:
self.children.append(value)
def solve(root):
if not root:
return root
head = Node(root.val)
q = deque([(root, head)])
while q:
node, cloned = q.popleft()
for chld in node.children:
new_n = Node(chld.val)
cloned.children.append(new_n)
q.append((chld,new_n))
return head
def treeprint(node, tree):
if node == None:
tree.append("None")
return tree
if tree == None:
tree = []
tree.append(node.val)
for child in node.children:
treeprint(child, tree)
return tree
node6 = Node(65)
node5 = Node(56)
node4 = Node(42, [node5, node6])
node3 = Node(32)
node2 = Node(27)
node1 = Node(14, [node2, node3, node4])
root = node1
copynode = solve(root)
print(treeprint(copynode, None))
Input
node6 = Node(65) node5 = Node(56) node4 = Node(42, [node5, node6]) node3 = Node(32) node2 = Node(27) node1 = Node(14, [node2, node3, node4]) root = node1
Output
[14, 27, 32, 42, 56, 65]