
Data Structure
Networking
RDBMS
Operating System
Java
MS Excel
iOS
HTML
CSS
Android
Python
C Programming
C++
C#
MongoDB
MySQL
Javascript
PHP
- Selected Reading
- UPSC IAS Exams Notes
- Developer's Best Practices
- Questions and Answers
- Effective Resume Writing
- HR Interview Questions
- Computer Glossary
- Who is Who
Golang Program Left View of Binary Tree
In programming, there is a coding problem of binary tree that gets asked very frequently in interviews and the problem statement is to find the left view of a binary tree. If we try to understand the problem statement more than what exactly the left view is then we can explain it in a way that all the nodes are visible when you see them by standing on the left side of the tree.
Illustration
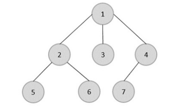
Let us understand more with the help of an example. Suppose we have a below tree and if we stand on the left side the node that is visible will be 1, 2, and 5. Nodes 3 and 4 are hidden by node 2 and node 6 and node 7 are hidden by node 5. To implement this we will do level order traversal using the Breadth First Search algorithm. For each level we will start from the right side and keep updating a variable at the end of each level the value of the variable will be the leftmost value.
Level 1: Iterate Node 1, no node on left move to next level. Node 1 is visible at this level in the left view.
Level 2: Start iterating node 4 and update the value of the variable. Move to node 3 and update the variable value and then move to node 2. Node 2 is visible at this level in the left view.
Level 3: Start with node 7 and update the value of the variable. Move to node 6 and update the variable value and then move to node 5. Node 5 is visible at this level in the left view.

Example
In this code, we have implemented a queue data structure and its functions as well as currently there is no pre ? build library for queues in Golang.
package main import "fmt" type Queue struct { List [](*TreeNode) } type TreeNode struct { Val int Left *TreeNode Right *TreeNode } // function to add an element in the queue func (q *Queue) Enqueue(element *TreeNode) { q.List = append(q.List, element) } // function to delete elements in the queue func (q *Queue) Dequeue() *TreeNode { if q.isEmpty() { fmt.Println("Queue is empty.") return nil } element := q.List[0] q.List = q.List[1:] return element } // function checks that queue is empty or not func (q *Queue) isEmpty() bool { return len(q.List) == 0 } // function to find the length of the queue func (q *Queue) size() int { return len(q.List) } // creating binary tree func CreateBinaryTree(root *TreeNode) { n1 := TreeNode{1, nil, nil} n2 := TreeNode{2, nil, nil} root.Left = &n1 root.Right = &n2 n3 := TreeNode{3, nil, nil} n4 := TreeNode{4, nil, nil} n1.Left = &n3 n1.Right = &n4 n5 := TreeNode{5, nil, nil} n6 := TreeNode{6, nil, nil} n2.Left = &n5 n2.Right = &n6 } // LeftView a function with root node as argument // and returns the left-view elements in the array func LeftView(root *TreeNode) []int { // returning empty array if the tree is empty if root == nil { return []int{} } // creating variable for queue var q Queue // creating array to store right side element var leftView []int // variable to store right most value at the current level var Val int // enqueue root address in the queue q.Enqueue(root) q.Enqueue(nil) // breadth-first search over the tree for q.size() > 1 { currNode := q.Dequeue() if currNode == nil { q.Enqueue(nil) leftView = append(leftView, Val) continue } Val = currNode.Val if currNode.Right != nil { q.Enqueue(currNode.Right) } if currNode.Left != nil { q.Enqueue(currNode.Left) } } leftView = append(leftView, Val) return leftView } func main() { fmt.Println("Golang program to find the Left view of the binary tree.") // creating root node of binary tree root := TreeNode{0, nil, nil} // calling CreateBinaryTree function to create a complete binary tree CreateBinaryTree(&root) // calling RightView function leftView := LeftView(&root) // print right view element for i := 0; i < len(leftView); i++ { fmt.Print(leftView[i], " ") } fmt.Println() }
Output
Golang program to find the Left view of the binary tree. 0 1 3
Conclusion
In this way, we have found the left view of a binary tree by doing the level order traversal, using breadth first search algorithm. We can use the Depth First search algorithm also to find the level order traversal of a tree. The time complexity of this approach is O(V + E) where V and E are the no. of vertices and no. of edges in the graph. To learn more about Golang you can explore these tutorials.