Article Categories
- All Categories
-
Data Structure
-
Networking
-
RDBMS
-
Operating System
-
Java
-
MS Excel
-
iOS
-
HTML
-
CSS
-
Android
-
Python
-
C Programming
-
C++
-
C#
-
MongoDB
-
MySQL
-
Javascript
-
PHP
-
Economics & Finance
Selected Reading
Program to find out if a BST is present in a given binary tree in Python
Suppose we are given a binary tree. We have to find out the largest subtree from the tree that is a binary search tree (BST). We return the root node of the BST.

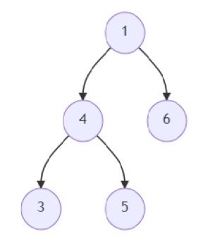
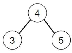
So, if the input is like
then the output will be −

To solve this, we will follow these steps −
- c := 0
- m := null
- Define a function recurse() . This will take node
- if node is not null, then
- left_val := recurse(left of node)
- right_val := recurse(right of node)
- count := negative infinity
- if (node.left is same as null or node.left.val
- count := left_val + right_val + 1
- if count > c, then
- c := count
- m := node
- return count
- if node is not null, then
- return 0
Example
Let us see the following implementation to get better understanding −
class TreeNode:
def __init__(self, val, left = None, right = None):
self.val = val
self.left = left
self.right = right
def insert(temp,data):
que = []
que.append(temp)
while (len(que)):
temp = que[0]
que.pop(0)
if (not temp.left):
if data is not None:
temp.left = TreeNode(data)
else:
temp.left = TreeNode(0)
break
else:
que.append(temp.left)
if (not temp.right):
if data is not None:
temp.right = TreeNode(data)
else:
temp.right = TreeNode(0)
break
else:
que.append(temp.right)
def make_tree(elements):
Tree= TreeNode(elements[0])
for element in elements[1:]:
insert(Tree, element)
return Tree
def print_tree(root):
if root is not None:
print_tree(root.left)
print(root.val, end = ', ')
print_tree(root.right)
def solve(root):
c, m = 0, None
def recurse(node):
if node:
nonlocal c, m
left_val = recurse(node.left)
right_val = recurse(node.right)
count = -float("inf")
if (node.left == None or node.left.val <= node.val) and (node.right == None or node.val <= node.right.val):
count = left_val + right_val + 1
if count > c:
c = count
m = node
return count
return 0
recurse(root)
return m
tree = make_tree([1, 4, 6, 3, 5])
print_tree(solve(tree))
Input
tree = make_tree([1, 4, 6, 3, 5]) print_tree(solve(tree))
Output
3, 4, 5,
Advertisements
