Data Structure
Networking
RDBMS
Operating System
Java
MS Excel
iOS
HTML
CSS
Android
Python
C Programming
C++
C#
MongoDB
MySQL
Javascript
PHP
- Selected Reading
- UPSC IAS Exams Notes
- Developer's Best Practices
- Questions and Answers
- Effective Resume Writing
- HR Interview Questions
- Computer Glossary
- Who is Who
Area of the Largest square that can be inscribed in an ellipse in C++
Here we will see the area of largest square that can be inscribed in an ellipse. The square in ellipse will be like below −

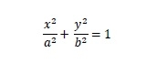
The area of ellipse is −

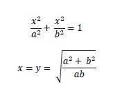
Now, if x and y are same, then

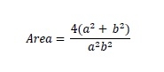
So area is −

Example
#include <iostream>
#include <cmath>
using namespace std;
float area(float a, float b) {
if (a < 0 || b < 0 ) //if values are is negative it is invalid
return -1;
float area = (4*(a*a + b*b)) / (a*a*b*b);
return area;
}
int main() {
float a = 4, b = 2;
cout << "Area : " << area(a, b);
}
Output
Area : 1.25
Advertisements