Data Structure
Networking
RDBMS
Operating System
Java
MS Excel
iOS
HTML
CSS
Android
Python
C Programming
C++
C#
MongoDB
MySQL
Javascript
PHP
- Selected Reading
- UPSC IAS Exams Notes
- Developer's Best Practices
- Questions and Answers
- Effective Resume Writing
- HR Interview Questions
- Computer Glossary
- Who is Who
Area of largest triangle that can be inscribed within a rectangle in C Program?
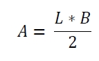
Suppose one rectangle is given. We know the length L and breadth B of it. We have to find the area of largest triangle that can be inscribed within that rectangle −

The largest triangle will always be the half of the rectangle. So it will be

Example
#include <iostream>
#include <cmath>
using namespace std;
float area(float l, float b) {
if (l < 0 || b < 0 ) //if the valuse are negative it is invalid
return -1;
float area = (l*b)/2;
return area;
}
int main() {
float a = 10, b = 8;
cout << "Area : " << area(a, b);
}
Output
Area : 40
Advertisements