Article Categories
- All Categories
-
Data Structure
-
Networking
-
RDBMS
-
Operating System
-
Java
-
MS Excel
-
iOS
-
HTML
-
CSS
-
Android
-
Python
-
C Programming
-
C++
-
C#
-
MongoDB
-
MySQL
-
Javascript
-
PHP
-
Economics & Finance
Delete Node in a BST in C++
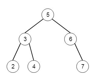
Suppose we have a binary search tree. We will take one key k, and we have to delete the given key k from the BST, and return the updated BST. So if the tree is like −

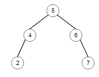
And the key k = 3, then the output tree will be −

To solve this, we will follow these steps −
Define a method called deleteRoot() to delete the root node, this will work as follows
if root is null, then return null
if root has no right subtree, then return left of root
x := inorder successor of root
set left of x as left := left of root
return right of root
The delete method will be like
if root is null or value of root is key, then return deleteRoot(root)
curr := root
-
Create one infinite loop, and execute the following
x := value of curr node
-
if key < x, then
-
if left of curr = null or value of left of curr = key, then
left of curr := deleteRoot(left of curr) and come out from the loop.
curr := left of curr
-
-
otherwise
-
if right of curr = null or value of right of curr = key, then
right of curr := deleteRoot(right of curr) and come out from loop.
curr := right of curr
-
return root
Let us see the following implementation to get better understanding −
Example
#include <bits/stdc++.h>
using namespace std;
class TreeNode{
public:
int val;
TreeNode *left, *right;
TreeNode(int data){
val = data;
left = NULL;
right = NULL;
}
};
void insert(TreeNode **root, int val){
queue<TreeNode*> q;
q.push(*root);
while(q.size()){
TreeNode *temp = q.front();
q.pop();
if(!temp->left){
if(val != NULL)
temp->left = new TreeNode(val);
else
temp->left = new TreeNode(0);
return;
} else {
q.push(temp->left);
}
if(!temp->right){
if(val != NULL)
temp->right = new TreeNode(val);
else
temp->right = new TreeNode(0);
return;
} else {
q.push(temp->right);
}
}
}
TreeNode *make_tree(vector<int> v){
TreeNode *root = new TreeNode(v[0]);
for(int i = 1; i<v.size(); i++){
insert(&root, v[i]);
}
return root;
}
void tree_level_trav(TreeNode*root){
if (root == NULL) return;
cout << "[";
queue<TreeNode *> q;
TreeNode *curr;
q.push(root);
q.push(NULL);
while (q.size() > 1) {
curr = q.front();
q.pop();
if (curr == NULL){
q.push(NULL);
}
else {
if(curr->left)
q.push(curr->left);
if(curr->right)
q.push(curr->right);
if(curr == NULL || curr->val == 0){
cout << "null" << ", ";
} else {
cout << curr->val << ", ";
}
}
}
cout << "]"<<endl;
}
class Solution {
public:
TreeNode* deleteNode(TreeNode* root, int key) {
if(root == NULL || root->val == key) return deleteRoot(root);
TreeNode* curr = root;
while(1) {
int x = curr->val;
if(key < x){
if(curr->left == NULL || curr->left->val == key){
curr->left = deleteRoot(curr->left);
break;
}
curr = curr->left;
} else {
if(curr->right == NULL || curr->right->val == key){
curr->right = deleteRoot(curr->right);
break;
}
curr = curr->right;
}
}
return root;
}
TreeNode* deleteRoot(TreeNode* root){
if(!root || root->val == 0)return NULL;
if(root->right == NULL) return root->left;
TreeNode* x = root->right;
while(x->left)x = x->left;
x->left = root->left;
return root->right;
}
};
main(){
vector<int> v = {5,3,6,2,4,NULL,7};
TreeNode *root = make_tree(v);
Solution ob;
tree_level_trav(ob.deleteNode(root, 3));
}
Input
[5,3,6,2,4,null,7] 3
Output
[5, 4, 6, 2, null, 7, ]
