Data Structure
Networking
RDBMS
Operating System
Java
MS Excel
iOS
HTML
CSS
Android
Python
C Programming
C++
C#
MongoDB
MySQL
Javascript
PHP
- Selected Reading
- UPSC IAS Exams Notes
- Developer's Best Practices
- Questions and Answers
- Effective Resume Writing
- HR Interview Questions
- Computer Glossary
- Who is Who
Area of a square inscribed in a circle which is inscribed in a hexagon in C Program?
Here we will see the area of a square which in inscribed in one circle and that circle is inscribed in a hexagon. The side of the square is ‘a’. The radius of the circle is ‘r’, and the side of the hexagon is ‘A’. The diagram will be like below.

We know that the radius of a circle inscribed in a hexagon is −

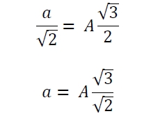
Also the radius of the circle is half of the diagonal of the square. So −

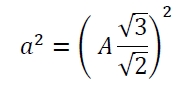
Then we can say −

Then the area will be −

Example
#include <iostream>
#include <cmath>
using namespace std;
float area(float A) { //A is the side of the hexagon
if (A < 0) //if the value is negative it is invalid
return -1;
float area = (A*A) * float(3.0/2.0);
return area;
}
int main() {
float side = 5;
cout << "Area is: " << area(side);
}
Output
Area is: 37.5
Advertisements