
Data Structure
Networking
RDBMS
Operating System
Java
MS Excel
iOS
HTML
CSS
Android
Python
C Programming
C++
C#
MongoDB
MySQL
Javascript
PHP
- Selected Reading
- UPSC IAS Exams Notes
- Developer's Best Practices
- Questions and Answers
- Effective Resume Writing
- HR Interview Questions
- Computer Glossary
- Who is Who
Python Program To Add Elements To A Linked List
What is a Linked List
When data is not stored in continuous memory locations, it takes a lot of time to search all the memory locations to get the required data. To prevent this, we use Linked Lists.
A linked list in Python is a data structure that stores items in an ordered sequence. It consists of nodes, where each node contains the item and a reference to the next node in the list. The first node is known as the head, while the last one is referred to as tail.
Linked lists are used for efficient insertion and deletion operations since new items can be added or removed from anywhere within the list without having to move all other elements around it. Additionally, they take up less memory space than arrays since only references need to be stored instead of copies of each element.
Linked list consists of nodes. Every node contains
Data
Link to the next node (usually a pointer)
HEAD will contain the link to the first node. The last node will point to NULL. There are 3 cases for adding the elements into a linked list: You can add the elements at the beginning, at the end or in the middle (at any position other than the beginning and the end)
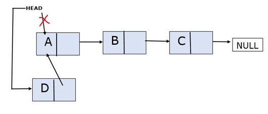
Adding Elements At The Beginning
The new node is added before the head of the linked list. The newly added node will become the head of the linked list.
Consider the linked list with 3 nodes A, B and C. The new node D is to be added at the beginning.

Algorithm
Step 1 ? First, create the new node that has to be added at the beginning of the linked list and allocate the data.
Step 2 ? Now, Make the new node point to the head.
Step 3 ? Make the head point to the address of the newly created node.
Function Implementation
def insert_at_the_beginning(self, newVal): newNode = Node(newVal) #creating the new node newNode.next = self.head #pointing the new node to the previous first node self.head = newNode #Making the head point to the newly added node
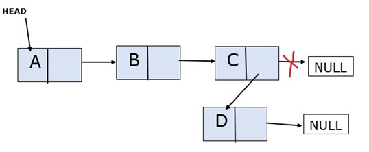
Adding Elements At The End
The new node is added after the last node and the new node is pointed to NULL. Consider the linked list with 3 nodes A, B and C. The new node D is to be added at the end.

Algorithm
Step 1 ? Create the new node that has to be added at the beginning of the linked list and allocate the data and make it point to NULL.
Step 2 ? Traverse to the end of the linked list (link list ends when you encounter NULL)
Step 3 ? Make the last node point to the newly created node
Function Implementation
def insert_at_the_end(self,newVal): newNode=Node(newVal) temp=self.head while(temp.next): temp=temp.next temp.next=newNode
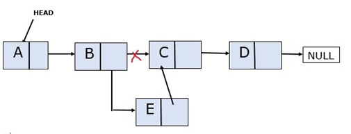
Adding Elements In The Middle
The position where the new node has to be inserted will be given along with the data. We need to insert the new node at that position.
Consider the linked list with 4 nodes A,B,C and D. The new node E has to be inserted at the location 3(it means that it has added after the node B).

Algorithm
Step 1 ? Create the new node that has to be added in the middle of the linked list and allocate the data.
Step 2 ? Traverse the list until just before the position of the new node
Step 3 ? Suppose you want to insert a new node at position ?x'
Traverse until x-1.
Point the new node to (x-1.next)
Point x-1 to the new node.
Function Implementation
def insert_in_middle(self,newVal,pos): newNode=Node(newVal) temp=self.head for i in range(2,pos): if temp.next!=None: temp=temp.next newNode.next=temp.next temp.next=newNode
Python Code
class Node: def __init__(self, val): self.val = val self.next = None class LinkedList: def __init__(self): self.head = None def insert_at_the_beginning(self, newVal): newNode = Node(newVal) #creating the new node newNode.next = self.head #pointing the new node to the previous first node self.head = newNode #Making the head point to the newly added node def insert_at_the_end(self,newVal): newNode=Node(newVal) temp=self.head while(temp.next): temp=temp.next temp.next=newNode def insert_in_middle(self,newVal,pos): newNode=Node(newVal) temp=self.head for i in range(2,pos): #for traversing to the position where you want to insert the new node if temp.next!=None: temp=temp.next newNode.next=temp.next temp.next=newNode def Print_the_LL(self): temp = self.head if(temp != None): print("The linked list elements are:", end=" ") while (temp != None): print(temp.val, end=" ") temp = temp.next else: print("The list is empty.") newList = LinkedList() print("\nEnter the number of elements you want to add into the linked list :") n=int(input()) for i in range(n): print("Chose from the following: 1.BEGINNING 2.END 3.MIDDLE") a=int(input()) if(a==1): print("Enter the data : ") data=int(input()) newList.insert_at_the_beginning(data) elif(a==2): print("Enter the data : ") data=int(input()) newList.insert_at_the_end(data) else: print("Enter the position: ") pos=int(input()) print("Enter the data : ") data=int(input()) newList.insert_in_middle(data,pos) newList.Print_the_LL()
Output
Enter the number of elements you want to add into the linked list : 3 Chose from the following: 1.BEGINNING 2.END 3.MIDDLE 1 Enter the data : 112 Chose from the following: 1.BEGINNING 2.END 3.MIDDLE 2 Enter the data : 145 Chose from the following: 1.BEGINNING 2.END 3.MIDDLE 3 Enter the position: 2 Enter the data : 223 The linked list elements are: 112 223 145