Data Structure
Networking
RDBMS
Operating System
Java
MS Excel
iOS
HTML
CSS
Android
Python
C Programming
C++
C#
MongoDB
MySQL
Javascript
PHP
- Selected Reading
- UPSC IAS Exams Notes
- Developer's Best Practices
- Questions and Answers
- Effective Resume Writing
- HR Interview Questions
- Computer Glossary
- Who is Who
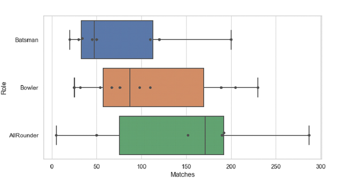
Python Pandas - Draw swarms of observations on top of a box plot with Seaborn
Swarm Plot in Seaborn is used to draw a categorical scatterplot with non-overlapping points. The seaborn.swarmplot() is used for this. Draw swarms of observations on top of a box plot using the seaborn.boxplot().
Let’s say the following is our dataset in the form of a CSV file −Cricketers2.csv
At first, import the required libraries −
import seaborn as sb import pandas as pd import numpy as np import matplotlib.pyplot as plt
Load data from a CSV file into a Pandas DataFrame −
dataFrame = pd.read_csv("C:\Users\amit_\Desktop\Cricketers2.csv")
Draw swarms of observations on top of a box plot −
sb.boxplot(x = "Matches", y = "Role", data= dataFrame, whis=np.inf) sb.swarmplot(x = "Matches", y = "Role", data= dataFrame, color=".3")
Example
Following is the code
import seaborn as sb
import pandas as pd
import numpy as np
import matplotlib.pyplot as plt
# Load data from a CSV file into a Pandas DataFrame
dataFrame = pd.read_csv("C:\Users\amit_\Desktop\Cricketers2.csv")
sb.set_theme(style="whitegrid")
# draw swarms of observations on top of a box plot
sb.boxplot(x = "Matches", y = "Role", data= dataFrame, whis=np.inf)
sb.swarmplot(x = "Matches", y = "Role", data= dataFrame, color=".3")
# display
plt.show()
Output
This will produce the following output

Advertisements