Data Structure
Networking
RDBMS
Operating System
Java
MS Excel
iOS
HTML
CSS
Android
Python
C Programming
C++
C#
MongoDB
MySQL
Javascript
PHP
- Selected Reading
- UPSC IAS Exams Notes
- Developer's Best Practices
- Questions and Answers
- Effective Resume Writing
- HR Interview Questions
- Computer Glossary
- Who is Who
Program to fix a erroneous binary tree using Python
Suppose, we are given a binary tree that has a problem; one of the node's right child pointer points to another node at the same level in the binary tree erroneously. So, to fix this problem,we have to find out the node that has this error and delete that node and its descendants except the node that it is erroneously pointing to. We return the root node of the fixed binary tree.
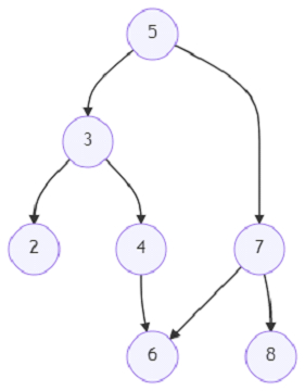
So, if the input is like

We can see that there is an erroneous link between 4 and 6. The right child pointer of 4 points to 6.
then the output, the inorder representation of the corrected tree will be − 2, 3, 5, 6, 7, 8,
Node 4 is deleted as it has an erroneous link to node 6.
To solve this, we will follow these steps −
q := a new deque containing the root
p := a new map
visited := a new set
-
while q is not empty, do
cur := pop leftmost element of q
-
if cur is present in visited, then
is_left := p[p[cur, 0]]
grand_p := p[p[cur, 0]]
-
if is_left is not null, then
left of grand_p := null
-
otherwise,
right of grand_p := null
return root
add(cur) of visited
-
if left of cur is not null, then
p[left of cur] := a new tuple (cur, 1)
insert left of cur at the end of q
-
if right of cur is not null, then
p[right of cur] := a new tuple (cur, 0)
insert right of cur at the end of q
return root
Let us see the following implementation to get better understanding −
Example
import collections class TreeNode: def __init__(self, data, left = None, right = None): self.data = data self.left = left self.right = right def insert(temp,data): que = [] que.append(temp) while (len(que)): temp = que[0] que.pop(0) if (not temp.left): if data is not None: temp.left = TreeNode(data) else: temp.left = TreeNode(0) break else: que.append(temp.left) if (not temp.right): if data is not None: temp.right = TreeNode(data) else: temp.right = TreeNode(0) break else: que.append(temp.right) def make_tree(elements): Tree = TreeNode(elements[0]) for element in elements[1:]: insert(Tree, element) return Tree def search_node(root, element): if (root == None): return None if (root.data == element): return root res1 = search_node(root.left, element) if res1: return res1 res2 = search_node(root.right, element) return res2 def print_tree(root): if root is not None: print_tree(root.left) print(root.data, end = ', ') print_tree(root.right) def solve(root): q = collections.deque([root]) p, visited = dict(), set() while q: cur = q.popleft() if cur in visited: grand_p, is_left = p[p[cur][0]] if is_left: grand_p.left = None else: grand_p.right = None return root visited.add(cur) if cur.left: p[cur.left] = (cur, 1) q.append(cur.left) if cur.right: p[cur.right] = (cur, 0) q.append(cur.right) return root root = make_tree([5, 3, 7, 2, 4, 6, 8]) link_from = search_node(root, 4) link_to = search_node(root, 6) link_from.right = link_to print_tree(solve(root))
Input
root = make_tree([5, 3, 7, 2, 4, 6, 8]) link_from = search_node(root, 4) link_to = search_node(root, 6) link_from.right = link_to
Output
2, 3, 5, 6, 7, 8,