Article Categories
- All Categories
-
Data Structure
-
Networking
-
RDBMS
-
Operating System
-
Java
-
MS Excel
-
iOS
-
HTML
-
CSS
-
Android
-
Python
-
C Programming
-
C++
-
C#
-
MongoDB
-
MySQL
-
Javascript
-
PHP
Selected Reading
Program to find shortest cycle length holding target in python
Suppose we have adjacency list of a directed graph, where each list at index i is represented connected nodes from node i. We also have a target value. We have to find the length of a shortest cycle that contains the target. If there is no solution return -1.
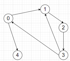
So, if the input is like

target = 3., then the output will be 3, as the cycle is nodes 1 -> 2 -> 3 -> 1. Note there is another cycle 0 -> 1 -> 2 -> 3 -> 0, but this is not shortest.
To solve this, we will follow these steps -
- visited := a new set
- l := a list with element target.
- length := 0
- while l is non-empty, do
- length := length + 1
- nl := a new list
- for each u in l, do
- for each v in graph[u], do
- if v is same as target, then
- return length
- if v is visited, then
- go for the next iteration
- mark v as visited
- insert v at the end of nl
- if v is same as target, then
- for each v in graph[u], do
- l := nl
- return -1
Let us see the following implementation to get better understanding -
Example
class Solution: def solve(self, graph, target): visited = set() l = [target] length = 0 while l: length += 1 nl = [] for u in l: for v in graph[u]: if v == target: return length if v in visited: continue visited.add(v) nl.append(v) l = nl return -1 ob = Solution() graph = [[1, 4],[2],[3],[0, 1],[]] target = 3 print(ob.solve(graph, target))
Input
[[1, 4],[2],[3],[0, 1],[]]
Output
3
Advertisements
