
Data Structure
Networking
RDBMS
Operating System
Java
MS Excel
iOS
HTML
CSS
Android
Python
C Programming
C++
C#
MongoDB
MySQL
Javascript
PHP
- Selected Reading
- UPSC IAS Exams Notes
- Developer's Best Practices
- Questions and Answers
- Effective Resume Writing
- HR Interview Questions
- Computer Glossary
- Who is Who
Program to convert binary search tree to a singly linked list in C++?
A Binary Search Tree is a data structure that stores data in a sorted order such that for every node, the left subtree contains values less than the node's value, and the right subtree contains values greater than the node's value. In this article, we will discuss how to convert a Binary Search Tree (BST) into a singly linked list in C++.
Flatten Binary Search Tree to Singly Linked List
Given a Binary Search Tree, the goal is to convert it into a singly linked list where the linked list nodes are in the same order as the in-order traversal of the BST. The left child of each node in the BST will point to the next node in the linked list, and the right child will be set to null
. Consider the following example:
Scenario
Input: 4 / \ 2 5 / \ 1 3 Output: 1 -> 2 -> 3 -> 4 -> 5 -> null Explanation: The in-order traversal of the BST gives us the sequence 1, 2, 3, 4, 5. We convert this into a singly linked list where each node points to the next node in the sequence.
To solve this problem, we have two methods;
- Using In-Order Traversal (Takes extra space)
- Without Extra Data Structures (Optimal Approach)
Inorder Traversal to Convert BST to Singly Linked List
The algorithm to convert a BST to a singly linked list involves the following steps:
- Perform an in-order traversal of the BST to the node values in an array.
- Create a new singly linked list and insert the retrieved values into the list.
- Print the newly created linked list.
Example
Here is the C++ code to convert a BST to a singly linked list using in-order traversal:
#include <iostream> #include <vector> using namespace std; // Node for binary search tree struct Node { int data; Node* left; Node* right; Node(int val) : data(val), left(NULL), right(NULL) {} }; // Node for linked list struct ListNode { int data; ListNode* next; ListNode(int val) : data(val), next(NULL) {} }; // Function for in-order traversal and storing nodes in vector void inorderTraversal(Node* root, vector<Node*>& nodes) { if (!root) return; inorderTraversal(root->left, nodes); nodes.push_back(root); inorderTraversal(root->right, nodes); } ListNode* bstToSinglyLinkedList(Node* root) { vector<Node*> nodes; inorderTraversal(root, nodes); // Create the linked list from the vector ListNode* head = nullptr; ListNode* tail = nullptr; for (Node* bstNode : nodes) { ListNode* newNode = new ListNode(bstNode->data); if (!head) { head = newNode; tail = newNode; } else { tail->next = newNode; tail = newNode; } } return head; } int main() { // Build BST Node* root = new Node(4); root->left = new Node(2); root->right = new Node(5); root->left->left = new Node(1); root->left->right = new Node(3); // Convert to linked list ListNode* head = bstToSinglyLinkedList(root); // Print the linked list ListNode* curr = head; while (curr) { cout << curr->data << " -> "; curr = curr->next; } cout << "null" << endl; return 0; }
The output of the above code will be:
1 -> 2 -> 3 -> 4 -> 5 -> 6 -> null
Convert BST to Singly Linked List Without Extra Space
Follow the steps below to convert a BST to a singly linked list without using extra data structures:
- Recursively search for nodes with no grandchildren and having both left and right children.
- Then store node->right in temp and make node->right=node->left
- Insert temp in first node NULL on right of node by node=node->right.
- Repeat until it is converted to linked list.

Example
Here is the optimal C++ code to convert a BST to a singly linked list.
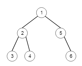
#include <bits/stdc++.h> using namespace std; struct Node { int key; Node *left, *right; }; // Function to create a new node Node* newNode(int key) { Node* node = new Node; node->key = key; node->left = node->right = NULL; return (node); } // Function to convert binary tree into linked list void flatten(struct Node* root) { // base condition- return if root is NULL or if it is a // leaf node if (root == NULL || root->left == NULL && root->right == NULL) return; // if root->left exists then we have to make it // root->right if (root->left != NULL) { // move left recursively flatten(root->left); // store the node root->right struct Node* tmpRight = root->right; root->right = root->left; root->left = NULL; // find the position to insert the stored value struct Node* t = root->right; while (t->right != NULL) t = t->right; // insert the stored value t->right = tmpRight; } // now call the same function for root->right flatten(root->right); } // To find the inorder traversal void inorder(struct Node* root) { // base condition if (root == NULL) return; inorder(root->left); cout << root->key << " -> "; inorder(root->right); } int main() { /* 1 / \ 2 5 / \ \ 3 4 6 */ Node* root = newNode(1); root->left = newNode(2); root->right = newNode(5); root->left->left = newNode(3); root->left->right = newNode(4); root->right->right = newNode(6); flatten(root); inorder(root); cout << "null" << endl; // Print null at the end of the linked list return 0; }
The output of the above code will be:
1 -> 2 -> 3 -> 4 -> 5 -> 6 -> null