Article Categories
- All Categories
-
Data Structure
-
Networking
-
RDBMS
-
Operating System
-
Java
-
MS Excel
-
iOS
-
HTML
-
CSS
-
Android
-
Python
-
C Programming
-
C++
-
C#
-
MongoDB
-
MySQL
-
Javascript
-
PHP
-
Economics & Finance
Product of all nodes in a Binary Tree in C++
Given with a binary tree containing nodes and the task is to find the product of all the nodes of a given binary tree.
In a binary tree, there is a root node which is the master node of all the nodes in a tree. A node contains data part, left pointer which will further create left subdirectory and a right pointer which will help in creating right subdirectory. So to traverse the tree, we can take a temporary pointer that will associate with left pointer to traverse left subdirectory or right pointer to traverse the right sub directory.
Input

Output
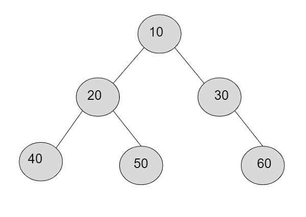
Nodes are-: 10, 20, 30, 40, 50, 60 Product = 10*20*30*40*50*60 = 72,00,00,000
Approach
Input the node data
Traverse all the nodes starting from the root node and going to either left sub directory or right subdirectory for traversal.
Store the nodes data and keep multiplying the stored data with the new data
Print the value of a temporary variable holding the multiplied values.
Algorithm
Start Step 1 → create structure of a node structure node struct node int data Create node *left, *right End Step 2 → declare function to insert a node in a tree node* new_node(int data) Set node* temp = new node() Set temp→data = data Set temp→left = temp→right = NULL return temp End Step 3 → Declare a function to multiply all the nodes void leaf(node* root, int &product) IF root = NULL return 1 End return (root→data * node_product(root→left) * node_product(root→right)) Step 4 → In main() Create node* root = new_node(10) Set root→left = new_node(20) Set root→left→left = new_node(30) Set int product = node_product(root) Display product Stop
Example
#include <iostream>
using namespace std;
//structure of a node
struct node{
int data;
node *left, *right;
};
//function for inserting a new node
node* new_node(int data){
node* temp = new node();
temp→data = data;
temp→left = temp→right = NULL;
return temp;
}
//function for multiplying all the nodes
int node_product(node* root){
if (root == NULL)
return 1;
return (root→data * node_product(root→left) * node_product(root→right));
}
int main(){
node* root = new_node(10);
root→left = new_node(20);
root→right = new_node(30);
root→left→left = new_node(40);
root→left→right = new_node(50);
root→right→left = new_node(60);
int product = node_product(root);
cout << "Product of all the nodes is: "<<product<< endl;
return 0;
}
Output
If run the above code it will generate the following output −
Product of all the nodes is: 720000000
