Data Structure
Networking
RDBMS
Operating System
Java
MS Excel
iOS
HTML
CSS
Android
Python
C Programming
C++
C#
MongoDB
MySQL
Javascript
PHP
- Selected Reading
- UPSC IAS Exams Notes
- Developer's Best Practices
- Questions and Answers
- Effective Resume Writing
- HR Interview Questions
- Computer Glossary
- Who is Who
Path In Zigzag Labelled Binary Tree in Python
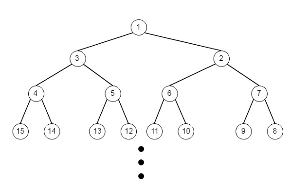
Suppose in an infinite binary tree where every node has two children, the nodes are labelled in row order. Now in the odd numbered rows (the first, third, fifth,...), the labelling is left to right, and in the even numbered rows (second, fourth, sixth,...), the labelling is right to left. So the tree will be like −

So we have given the label of a node in this tree, we have to find the labels in the path from the root of the tree to the node with that label. So if the input is label = 14, then the output will be [1,3,4,14]
To solve this, we will follow these steps −
Define two array tree and res, insert 0 and 1 into the tree array, set odd := 1 and current := 1 and two := 2
if label = 1, then return a list with single element 1.
-
Create one infinite loop −
-
if odd is non-zero, then
max_val := current + two
temp := max_val
-
while temp > current
insert temp into tree
if temp = label, then come out from the loop
decrease temp by 1
if last element of tree is label, then come out from the loop
current := max_val
-
otherwise
temp := two
-
while temp is not zero
temp := 1, increase current by 1, then increase current into tree
if current = label, then come out form the loop
if last element of tree is label, then come out from the loop
temp := temp * 2
odd := false if odd is non zero, otherwise true
-
index := length of tree – 1
-
while index is not 0
insert tree[index] into res array
index := index / 2
res := reversed list of res
return res
Example(Python)
Let us see the following implementation to get a better understanding −
class Solution(object): def pathInZigZagTree(self, label): tree = [] res = [] tree.append(0) tree.append(1) odd = 1 current = 1 two = 2 if label == 1: return [1] while True: if odd: max_val = current + two temp = max_val while temp>current: tree.append(temp) if temp == label: break temp-=1 if tree[-1]== label: break current = max_val else: temp = two while temp: temp-=1 current+=1 tree.append(current) if current == label: break if tree[-1]== label: break two*=2 odd = not odd index = len(tree)-1 while index: res.append(tree[index]) index//=2 res=res[::-1] return res ob = Solution() print(ob.pathInZigZagTree(14))
Input
14
Output
[1,3,4,14]