Data Structure
Networking
RDBMS
Operating System
Java
MS Excel
iOS
HTML
CSS
Android
Python
C Programming
C++
C#
MongoDB
MySQL
Javascript
PHP
- Selected Reading
- UPSC IAS Exams Notes
- Developer's Best Practices
- Questions and Answers
- Effective Resume Writing
- HR Interview Questions
- Computer Glossary
- Who is Who
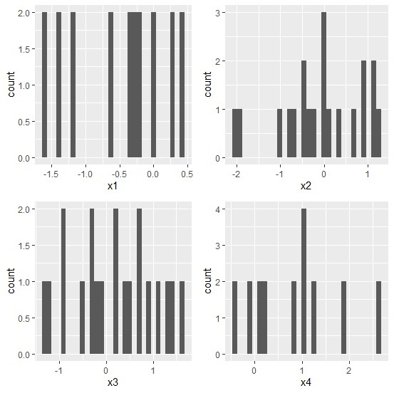
How to display a list of plots with the help of grid.arrange in R?
In data analysis, we deal with many variables at a time and we want to visualize the histogram of these variables at a time. This helps us to understand the distribution of each variable in the data set, therefore we can apply the appropriate technique to deal with those variables. To create a list of plots we can use grid.arrange function in gridExtra package that can arrange plots based on our need.
Example
Consider the below data frame −
> set.seed(10) > df<-data.frame(x1=rnorm(10),x2=rnorm(20,0.2),x3=rnorm(20,0.5),x4=rnorm(10,0.5)) > head(df,20) x1 x2 x3 x4 1 0.01874617 1.301779503 -1.3537405 0.09936245 2 -0.18425254 0.955781508 0.4220539 0.16544343 3 -1.37133055 -0.038233556 1.4685663 1.86795395 4 -0.59916772 1.187444703 0.6849260 2.63776710 5 0.29454513 0.941390128 -0.8799436 1.00581926 6 0.38979430 0.289347266 -0.9355144 1.28634238 7 -1.20807618 -0.754943856 0.8620872 -0.40221194 8 -0.36367602 0.004849615 -1.2590868 1.03289699 9 -1.62667268 1.125521262 0.1754560 -0.14589425 10 -0.25647839 0.682978525 -0.1515630 0.79098749 11 0.01874617 -0.396310637 1.5865514 0.09936245 12 -0.18425254 -1.985286838 -0.2625449 0.16544343 13 -1.37133055 -0.474865938 -0.3286625 1.86795395 14 -0.59916772 -1.919061192 1.3344739 2.63776710 15 0.29454513 -1.065198022 -0.4676520 1.00581926 16 0.38979430 -0.173661555 0.4711847 1.28634238 17 -1.20807618 -0.487555430 0.7325252 -0.40221194 18 -0.36367602 -0.672158827 0.1987913 1.03289699 19 -1.62667268 0.098238994 -0.1776146 -0.14589425 20 -0.25647839 -0.053780530 1.1552276 0.79098749
Loading ggplot2 package −
> library(ggplot2)
Loading gridExtra package −
> library(gridExtra)
Creating the histograms of x1, x2, x3, and x4 −
> p1 <- ggplot(df, aes(x1)) + geom_histogram() > p2 <- ggplot(df, aes(x2)) + geom_histogram() > p3 <- ggplot(df, aes(x3)) + geom_histogram() > p4 <- ggplot(df, aes(x4)) + geom_histogram() > PlotsList<- list(p1,p2,p3,p4)
Arranging the plots in one graph −
> grid.arrange(grobs = PlotsList, ncol = 2) `stat_bin()` using `bins = 30`. Pick better value with `binwidth`. `stat_bin()` using `bins = 30`. Pick better value with `binwidth`. `stat_bin()` using `bins = 30`. Pick better value with `binwidth`. `stat_bin()` using `bins = 30`. Pick better value with `binwidth`.
Output

Here R is showing “`stat_bin()` using `bins = 30`. Pick better value with `binwidth`.” with the output but it is not an error, it is just telling us to change the binwidth and we can change it in geom_histogram() as geom_histogram(binwidth=1).