Article Categories
- All Categories
-
Data Structure
-
Networking
-
RDBMS
-
Operating System
-
Java
-
MS Excel
-
iOS
-
HTML
-
CSS
-
Android
-
Python
-
C Programming
-
C++
-
C#
-
MongoDB
-
MySQL
-
Javascript
-
PHP
-
Economics & Finance
Selected Reading
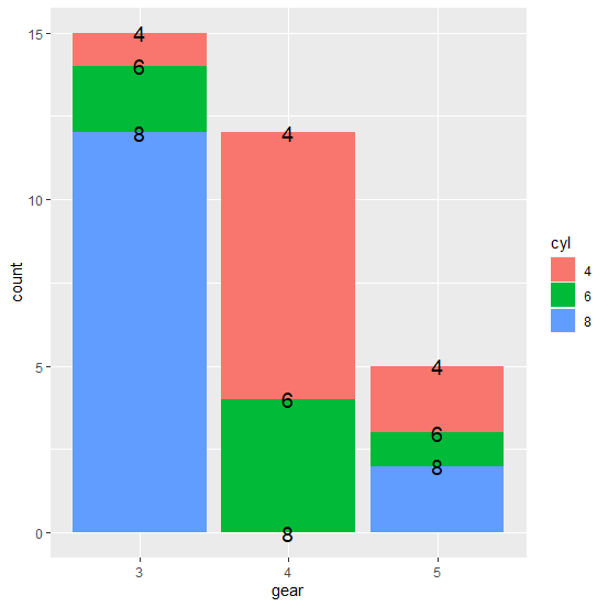
How to create the stacked bar plot using ggplot2 in R with labels on the plot?
The creation of stacked bar plot using ggplot2 can be done with the help of position="stack" argument inside geom_bar function. If we want to create the stacked bar plot then geom_text function will be used with the same position argument and the aes to define the labels as shown in the below example.
Example
df<−data.frame(with(mtcars,table(cyl,gear))) df
Output
cyl gear Freq 1 4 3 1 2 6 3 2 3 8 3 12 4 4 4 8 5 6 4 4 6 8 4 0 7 4 5 2 8 6 5 1 9 8 5 2
Loading ggplot2 package and creating the stacked bar plot −
Example
library(ggplot2)
Output
ggplot(df,aes(gear,fill=cyl))+geom_bar(aes(weight=Freq),position="stack")+geom_text(position="stack",aes(gear,Freq,label=cyl),size=5)
Output

Advertisements
