Data Structure
Networking
RDBMS
Operating System
Java
MS Excel
iOS
HTML
CSS
Android
Python
C Programming
C++
C#
MongoDB
MySQL
Javascript
PHP
- Selected Reading
- UPSC IAS Exams Notes
- Developer's Best Practices
- Questions and Answers
- Effective Resume Writing
- HR Interview Questions
- Computer Glossary
- Who is Who
How to create facets in vertical order using ggplot2 in R?
To create facets in vertical order using ggplot2 in R, we can follow the below steps −
- First of all, create a data frame.
- Then, create facetted plot with facet_grid function.
- After that, create the facetted plot with facet_wrap function.
Create the data frame
Let's create a data frame as shown below −
x<-rnorm(20) y<-rnorm(20) Grp<-sample(LETTERS[1:3],20,replace=TRUE) df<-data.frame(x,y,Grp) df
On executing, the above script generates the below output(this output will vary on your system due to randomization) −
x y Grp 1 0.94991539 -1.0542462 A 2 -0.57885618 -2.0540170 A 3 -1.23460243 0.8274220 A 4 -0.21877000 -1.9415441 C 5 0.04090913 1.6289717 B 6 -0.64176648 -0.3619278 B 7 -0.96150947 -0.6270708 B 8 0.67482657 -0.9131730 A 9 -0.91607782 -1.6654625 C 10 0.28532388 0.4168112 B 11 0.35770097 -1.7113561 C 12 1.11407808 0.3201749 C 13 -0.01130312 -1.0384266 A 14 -2.02079485 0.5223646 B 15 0.61790518 0.7451400 C 16 -0.11281998 0.2334734 B 17 1.59511515 -2.0538179 C 18 0.54389377 -1.4884317 C 19 -1.65685694 2.1253106 B 20 0.10209988 1.6262022 B
Create the facetted plot with facet_grid
Using facet_grid function to create the facetted scatterplots between x and y based on Grp column −
x<-rnorm(20) y<-rnorm(20) Grp<-sample(LETTERS[1:3],20,replace=TRUE) df<-data.frame(x,y,Grp) library(ggplot2) ggplot(df,aes(x,y,col=Grp))+geom_point()+facet_grid(~Grp)
Output

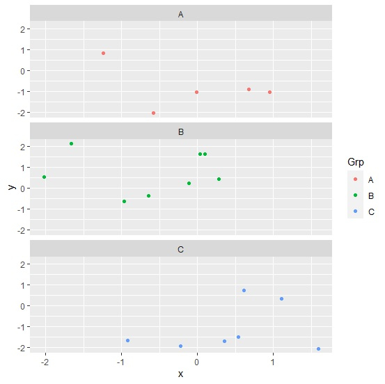
Create the facetted plot with facet_wrap
Using facet_wrap function to create the facetted scatterplots between x and y based on Grp column −
x<-rnorm(20) y<-rnorm(20) Grp<-sample(LETTERS[1:3],20,replace=TRUE) df<-data.frame(x,y,Grp) library(ggplot2) ggplot(df,aes(x,y,col=Grp))+geom_point()+facet_wrap(~Grp,ncol=1)
Output

Advertisements