Article Categories
- All Categories
-
Data Structure
-
Networking
-
RDBMS
-
Operating System
-
Java
-
MS Excel
-
iOS
-
HTML
-
CSS
-
Android
-
Python
-
C Programming
-
C++
-
C#
-
MongoDB
-
MySQL
-
Javascript
-
PHP
Selected Reading
Find the node whose absolute difference with X gives maximum value in C++
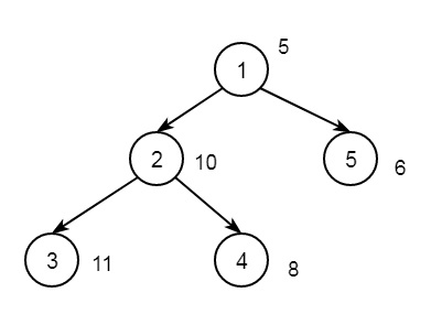
Suppose we have a tree, and the weights of all the nodes and an integer x. We have to find the node i, such that |weight[i] - x| is minimum. If the graph is like below, and x = 15

Output will be 3. Now for different nodes, it will be like below
Node 1, |5 – 15| = 10
Node 2, |10 – 15| = 5
Node 3, |11 – 15| = 4
Node 4, |8 – 15| = 7
Node 5, |6 – 15| = 9
The idea is simple. We will perform the DFS on the tree, and keep track of the node, whose weighted absolute difference with x gives the minimum value
Example
#include#include #include using namespace std; int min_value = INT_MAX, x, result; vector graph[100]; vector weight(100); void dfs(int node, int parent) { if (min_value > abs(weight[node] - x)) { min_value = abs(weight[node] - x); result = node; } for (int to : graph[node]) { if (to == parent) continue; dfs(to, node); } } int main() { x = 15; weight[1] = 5; weight[2] = 10; weight[3] = 11; weight[4] = 8; weight[5] = 6; graph[1].push_back(2); graph[2].push_back(3); graph[2].push_back(4); graph[1].push_back(5); dfs(1, 1); cout Output
The node number is: 3
Advertisements
