Article Categories
- All Categories
-
Data Structure
-
Networking
-
RDBMS
-
Operating System
-
Java
-
MS Excel
-
iOS
-
HTML
-
CSS
-
Android
-
Python
-
C Programming
-
C++
-
C#
-
MongoDB
-
MySQL
-
Javascript
-
PHP
-
Economics & Finance
Selected Reading
Find maximum (or minimum) in Binary Tree in C++
In this problem, we are given a binary tree. Our task is to Find maximum (or minimum) in Binary Tree.
Problem Description: We need to find the nodes of the binary tree that have maximum and minimum value in the binary tree.
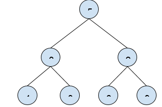
Let’s take an example to understand the problem,
Input:

Output: max = 9 , min = 1
Solution Approach
We need to find the max node of the binary tree. We will do this by traversing the pointer until we reach the leaf node and then find the maximum node of the tree.
Program to illustrate the working of our solution,
Example
#include <iostream>
using namespace std;
class Node {
public:
int data;
Node *left, *right;
Node(int data) {
this->data = data;
this->left = NULL;
this->right = NULL;
}
};
int findMaxNode(Node* root) {
if (root == NULL)
return -100;
int maxVal = root->data;
int leftMaxVal = findMaxNode(root->left);
int rightMaxVal = findMaxNode(root->right);
if (leftMaxVal > maxVal)
maxVal = leftMaxVal;
if (rightMaxVal > maxVal)
maxVal = rightMaxVal;
return maxVal;
}
int main() {
Node* NewRoot = NULL;
Node* root = new Node(5);
root->left = new Node(3);
root->right = new Node(2);
root->left->left = new Node(1);
root->left->right = new Node(8);
root->right->left = new Node(6);
root->right->right = new Node(9);
cout<<"The Maximum element of Binary Tree is "<<findMaxNode(root) << endl;
return 0;
}
Output
The Maximum element of Binary Tree is 9
Advertisements
