Article Categories
- All Categories
-
Data Structure
-
Networking
-
RDBMS
-
Operating System
-
Java
-
MS Excel
-
iOS
-
HTML
-
CSS
-
Android
-
Python
-
C Programming
-
C++
-
C#
-
MongoDB
-
MySQL
-
Javascript
-
PHP
-
Economics & Finance
Selected Reading
Explain the intersection process of two DFA's
According to the theorem, If L and M are two regular languages, then L ∩ M is also regular language.
Example
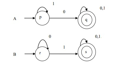
Construct A∩B where A and B is given as follows −

The language A ={10,100,00,001,1010,…..}
The language B ={01,1010,10,101,…..}
AA = (QA, Σ, δA, qa, FA) AB = (QB, Σ, δB, qB, FB) A∩B=(QA x QB ,Σ,δ(qA x qB ,FA x F B )
Where,
δ(( p, q), a) =δL (p, a), δM (q, a))
Here, QA x QB = {p,q} x {r,s}
={(p, r), (p, s), (q, r), (q, s)}
Z = {0, 1}
qA x qB = {p, r}
FA x FB = {q, s}

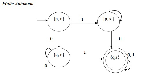
The finite automaton is given below −

Advertisements
