Data Structure
Networking
RDBMS
Operating System
Java
MS Excel
iOS
HTML
CSS
Android
Python
C Programming
C++
C#
MongoDB
MySQL
Javascript
PHP
- Selected Reading
- UPSC IAS Exams Notes
- Developer's Best Practices
- Questions and Answers
- Effective Resume Writing
- HR Interview Questions
- Computer Glossary
- Who is Who
Diameter of Binary Tree in Python
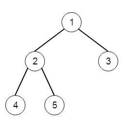
Suppose we have a binary tree; we have to compute the length of the diameter of the tree. The diameter of a binary tree is actually the length of the longest path between any two nodes in a tree. This path not necessarily pass through the root. So if the tree is like below, then the diameter will be 3.as the length of the path [4,2,1,3] or [5,2,1,3] is 3

To solve this, we will follow these steps −
- We will use the dfs to find the diameter, set answer := 0
- call the dfs function with the root dfs(root)
- dfs will work like below dfs(node)
- if node is not present, then return 0
- left := dfs(left subtree of root), and right := dfs(right subtree of root)
- answer := max of answer and left + right
- return max of left + 1 and right + 1
Example
Let us see the following implementation to get better understanding −
class TreeNode: def __init__(self, data, left = None, right = None): self.data = data self.left = left self.right = right def insert(temp,data): que = [] que.append(temp) while (len(que)): temp = que[0] que.pop(0) if (not temp.left): temp.left = TreeNode(data) break else: que.append(temp.left) if (not temp.right): temp.right = TreeNode(data) break else: que.append(temp.right) def make_tree(elements): Tree = TreeNode(elements[0]) for element in elements[1:]: insert(Tree, element) return Tree class Solution(object): def diameterOfBinaryTree(self, root): """ :type root: TreeNode :rtype: int """ self.ans = 0 self.dfs(root) return self.ans def dfs(self, node): if not node: return 0 left = self.dfs(node.left) right = self.dfs(node.right) self.ans =max(self.ans,right+left) return max(left+1,right+1) root = make_tree([1,2,3,4,5]) ob1 = Solution() print(ob1.diameterOfBinaryTree(root))
Input
[1,2,3,4,5]
Output
3
Advertisements