Article Categories
- All Categories
-
Data Structure
-
Networking
-
RDBMS
-
Operating System
-
Java
-
MS Excel
-
iOS
-
HTML
-
CSS
-
Android
-
Python
-
C Programming
-
C++
-
C#
-
MongoDB
-
MySQL
-
Javascript
-
PHP
-
Economics & Finance
Selected Reading
Two Sum BSTs in C++
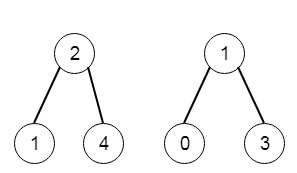
Suppose we have two binary search trees, we have to return True iff there is a node in the first tree and a node in the second tree and sum of these nodes is a given integer target. So if the tree is like −

and target is 5, then the result is true.
To solve this, we will follow these steps −
- Define a map s
- define a method called check(), this will take node, target and nodeNumber, this will work as follows −
- if node is valid, then return false
- curr := value of node, req := target – curr
- if req is present in s and s[req] is not nodeNumber, then return true
- s[curr] := nodeNumber
- return check(left of node, target, nodeNumber) OR check(right of node, target, nodeNumber)
- In the main method, we will set −
- flag := check(root1, target, 1)
- return check(root2, target, 2)
Example(C++)
Let us see the following implementation to get a better understanding −
#include <bits/stdc++.h>
using namespace std;
class TreeNode{
public:
int val;
TreeNode *left, *right;
TreeNode(int data){
val = data;
left = NULL;
right = NULL;
}
};
void insert(TreeNode **root, int val){
queue<TreeNode*> q;
q.push(*root);
while(q.size()){
TreeNode *temp = q.front();
q.pop();
if(!temp->left){
if(val != NULL)
temp->left = new TreeNode(val);
else
temp->left = new TreeNode(0);
return;
}
else{
q.push(temp->left);
}
if(!temp->right){
if(val != NULL)
temp->right = new TreeNode(val);
else
temp->right = new TreeNode(0);
return;
}
else{
q.push(temp->right);
}
}
}
TreeNode *make_tree(vector<int> v){
TreeNode *root = new TreeNode(v[0]);
for(int i = 1; i<v.size(); i++){
insert(&root, v[i]);
}
return root;
}
class Solution {
public:
map <int,int> s;
bool check(TreeNode* node, int target,int nodeNumber){
if(!node)return false;
int curr = node->val;
int req = target - curr;
if(s.find(req)!=s.end() && s[req]!=nodeNumber)return true;
s[curr]=nodeNumber;
return check(node->left,target,nodeNumber) || check(node->right,target,nodeNumber);
}
bool twoSumBSTs(TreeNode* root1, TreeNode* root2, int target) {
bool flag = check(root1,target,1);
return check(root2,target,2);
}
};
main(){
vector<int> v1 = {2,1,4};
vector<int> v2 = {1,0,3};
TreeNode *r1 = make_tree(v1);
TreeNode *r2 = make_tree(v2);
Solution ob;
cout <<ob.twoSumBSTs(r1, r2, 5);
}
Input
[2,1,4] [1,0,3] 5
Output
1
Advertisements
