Article Categories
- All Categories
-
Data Structure
-
Networking
-
RDBMS
-
Operating System
-
Java
-
MS Excel
-
iOS
-
HTML
-
CSS
-
Android
-
Python
-
C Programming
-
C++
-
C#
-
MongoDB
-
MySQL
-
Javascript
-
PHP
-
Economics & Finance
Selected Reading
Sum Root to Leaf Numbers in Python
Suppose we have a binary tree containing digits from 0-9 only, here all root-to-leaf path could represent a number.
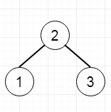
So if the tree is like −

This is representing two paths 21 and 23, so the output will be 21 + 23 = 44.
To solve this, we will follow these steps −
- Create one recursive function called dfs(), this will take root, and num. initially num = 0
- if the node is not null
- num := num * 10 + value of node
- if node right is not null and node left is not null, then’
- sum := sum + num
- num := num / 10
- return from the function
- dfs(right of node, num)
- dfs(left of node, num)
- num := num / 10
- return from the method
- initially sum := 0
- call the dfs using root, and
- return sum.
Example(Python)
Let us see the following implementation to get a better understanding −
class TreeNode: def __init__(self, data, left = None, right = None): self.data = data self.left = left self.right = right def insert(temp,data): que = [] que.append(temp) while (len(que)): temp = que[0] que.pop(0) if (not temp.left): if data is not None: temp.left = TreeNode(data) else: temp.left = TreeNode(0) break else: que.append(temp.left) if (not temp.right): if data is not None: temp.right = TreeNode(data) else: temp.right = TreeNode(0) break else: que.append(temp.right) def make_tree(elements): Tree = TreeNode(elements[0]) for element in elements[1:]: insert(Tree, element) return Tree class Solution(object): def sumNumbers(self, root): self.sum = 0 self.dfs(root) return self.sum def dfs(self,node,num=0): if node: num = num*10 + node.data if not node.right and not node.left: self.sum+=num num/=10 return self.dfs(node.right,num) self.dfs(node.left,num) num/=10 return ob1 = Solution() tree = make_tree([2,1,3]) print(ob1.sumNumbers(tree))
Input
[2,1,3]
Output
44
Advertisements
