Article Categories
- All Categories
-
Data Structure
-
Networking
-
RDBMS
-
Operating System
-
Java
-
MS Excel
-
iOS
-
HTML
-
CSS
-
Android
-
Python
-
C Programming
-
C++
-
C#
-
MongoDB
-
MySQL
-
Javascript
-
PHP
-
Economics & Finance
Selected Reading
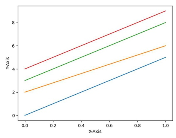
How to pick a new color for each plotted line within a figure in matplotlib?
To pick a new color for each plotted line within a figure, use the following steps −
Setup X-axis and Y-axis labels for the diagram.
Set the current .rc parameters. For axes facecolor, the group is axes.
Use a cycler to set the color for the group of lines. The color list consists of ‘r’ for red, ‘g’ for green, ‘b’ for blue, and ‘y’ for yellow.
Cycler class helps to create a new Cycler object from a single positional argument, a pair of positional arguments, or the combination of keyword arguments.
Plot the number of lines with different colors.
Use plt.show() to show the figure.
Example
import matplotlib.pyplot as plt
from cycler import cycler
plt.ylabel("Y-axis ")
plt.xlabel("X-axis ")
plt.rc('axes', prop_cycle=(cycler('color', ['r', 'g', 'b', 'y'])))
plt.plot([0, 5])
plt.plot([2, 6])
plt.plot([3, 8])
plt.plot([4, 9])
plt.show()
Output

Advertisements
