Article Categories
- All Categories
-
Data Structure
-
Networking
-
RDBMS
-
Operating System
-
Java
-
MS Excel
-
iOS
-
HTML
-
CSS
-
Android
-
Python
-
C Programming
-
C++
-
C#
-
MongoDB
-
MySQL
-
Javascript
-
PHP
-
Economics & Finance
Explain Union process in DFA
The union process in the deterministic finite automata (DFA) is explained below −
If L1 and If L2 are two regular languages, their union L1 U L2 will also be regular.
For example,
L1 = {an | n > O} and L2 = {bn | n > O}
L3 = L1 U L2 = {an U bn | n > O} is also regular.
Problem
Design a DFA over an alphabet {a,b} where the start and end are of different symbols.
Solution
There are two different types of languages are formed for a given condition −
- L1={ab,aab,abab,abb,…….}
- L1={ab,aab,abab,abb,…….}
Here,
- L1= starts with a and end with b
- L2= starts with b and ends with a
Therefore,
L=L1 U L2
Or
L=L1+L2
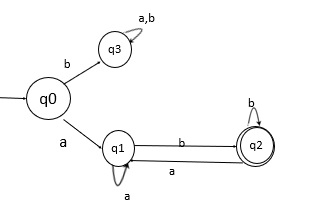
State transition diagram for L1
The state transition diagram for the language L1 is given below −

The above DFA accepts all strings starting with a and ending with b.
Here,
- q0 is the initial state.
- q1 is an intermediate state.
- q2 is the final state.
- q3 is the dead state.
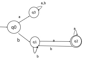
State transition diagram for L2
The state transition diagram for language L2 is as follows −

The above DFA accepts all strings starting with b and ending with a.
Here,
- q0: Initial state.
- q1: Intermediate state.
- q2: Final state.
- q3: Dead state.
Now the union of L1 and L2 gives the final result of language which starts and ends with different elements.
The state transition diagram of L1 U L2 is as follows −

