Article Categories
- All Categories
-
Data Structure
-
Networking
-
RDBMS
-
Operating System
-
Java
-
MS Excel
-
iOS
-
HTML
-
CSS
-
Android
-
Python
-
C Programming
-
C++
-
C#
-
MongoDB
-
MySQL
-
Javascript
-
PHP
-
Economics & Finance
Selected Reading
Design a Moore machine to generate 1's complement of a binary number.
Moore machine has 6 tuples, which are as follows −
(Q, q0, Σ, O, δ, λ)
Where,
- Q: Finite set of states
- q0: Initial state of machine
- Σ: Finite set of input symbols
- O: Output alphabet
- δ: Transition function where Q × Σ → Q
- λ: Output function where Q → O
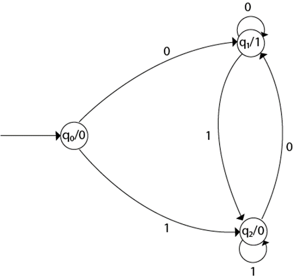
The transition diagram is as follows −

Explanation
- Step 1 − q0 is the start state on input ‘0’ goes to q1 state and on ‘1’ goes to state q2 generating output 0.
- Step 2 − q1 on input ‘0’ goes to q1 itself and on ‘1’ goes to q2 generating output ‘1’.
- Step 3 − q2 on input ‘0’ goes to q1 and on ‘1’ goes to q2 generating output ‘0’.
For instance,
Take one binary number: 1011.
Input
| Input | 1 | 0 | 1 | 1 | |
|---|---|---|---|---|---|
| State | q0 | q2 | q1 | q2 | q2 |
| Output | 0 | 0 | 1 | 0 | 0 |
Let’s construct the transition table for the given language. The table is as follows −
| Current State | Next State | Output | |
|---|---|---|---|
| 0 | 0 | ||
| ->q0 | q1 | q2 | 0 |
| q1 | q1 | q2 | 1 |
| q2 | q1 | q2 | 0 |
Advertisements
