Article Categories
- All Categories
-
Data Structure
-
Networking
-
RDBMS
-
Operating System
-
Java
-
MS Excel
-
iOS
-
HTML
-
CSS
-
Android
-
Python
-
C Programming
-
C++
-
C#
-
MongoDB
-
MySQL
-
Javascript
-
PHP
-
Economics & Finance
Selected Reading
Deletion from a Max Heap in Data Structure
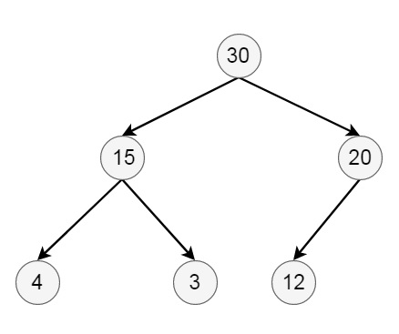
Here we will see how to delete elements from binary max heap data structures. Suppose the initial tree is like below −

Deletion Algorithm
<strong>delete(heap, n) −</strong> Begin if heap is empty, then exit else item := heap[1] last := heap[n] n := n – 1 for i := 1, j := 2, j <= n, set i := j and j := j * 2, do if j < n, then if heap[j] < heap[j + 1], then j := j + 1 end if if last >= heap[j], then break heap[i] := heap[j] done end if heap[i] := last End
Example
Suppose we want to delete 30 from the final heap −

Advertisements
