Data Structure
Networking
RDBMS
Operating System
Java
MS Excel
iOS
HTML
CSS
Android
Python
C Programming
C++
C#
MongoDB
MySQL
Javascript
PHP
- Selected Reading
- UPSC IAS Exams Notes
- Developer's Best Practices
- Questions and Answers
- Effective Resume Writing
- HR Interview Questions
- Computer Glossary
- Who is Who
Construct Pushdown automata for L = {0n1m2(n+m) | m,n = 0} in C++
We are given with a language “L” and the task is to construct a pushdown automata for the given language which explains that the occurrences of 2’s will be the addition of occurrences of 0’s and 1’s and also, occurrence of 0 and 1 will be minimum one which can also makes the string NULL and it should be accepted by the automata.
What is pushdown Automata?
A pushdown automata or pushdown automaton or PDA is a technique to implement a context−free grammar in a similar way we design Deterministic Finite Automaton or DFA for a regular grammar. A DFA can operate on finite data, but a PDA can operate on infinite data. We can understand pushdown automata as the combination of “finite state machine” and a “stack”.
A pushdown automaton has three components −
an input tape,
a control unit, and
a stack with infinite size.
A PDA can be formally described as a 7-tuple (Q, Σ, S, δ, q0, I, F) −
Q is the finite number of states
Σ is input alphabet
S is stack symbols
δ is the transition function: Q × (Σ υ {ε}) × S × Q × S*
q0 is the initial state (q0 Ε Q)
I is the initial stack top symbol (I Ε S)
F is a set of accepting states (F Ε Q)
Let’s construct a pushdown Automata for the given language −

The strings that are acceptable by this PDA are of the form −
0n2n − 02, 0022, 000222 etc. No. of 0s is equal to no. of 2s. When m is 0 we will have no 1s. Keep pushing 0s and as soon as the first 2 is encountered then pop 0s. If we reach the end of the string and are left with no 0s then the string is accepted.
1m2m − 12, 1122, 111222 etc. No. of 1s is equal to no. of 2s. When n is 0 we will have no 0s. Keep pushing 1s and as soon as the first 2 is encountered then pop 1s. If we reach the end of the string and are left with no 1s then the string is accepted.
0n1m2m+n − 0122, 001112, 001112 etc. No. of 2s is equal to sum of no. of 0s and 1s. Keep pushing 0s and 1s. As soon as the first 2 is encountered then pop 1s and 0s If we reach the end and no 0 is left then the string is accepted.
NULL string is also accepted. 001020.
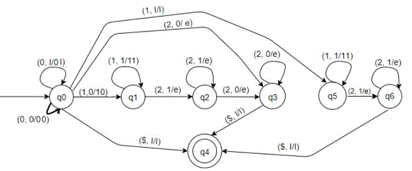
Let’s understand the machine
-
Transitions for state q0
−( 0, I/0I ) − If top of stack is I and current input symbol is 0 then push 0 to top of stack and remain at q0. Stack becomes 0I...
( 0, 0/00 ) − If top of stack is 0 and current input symbol is also 0 then push 0 to top of stack and remain at q0. Stack becomes 00.... Keep pushing 0s until the next 1 or 2.
( 1, 0/10 ) − If top of stack is 0 and current input symbol is 1 then push 1 to top of stack and move to q1. Stack becomes 10...
( 1, I/I ) − If top of stack is I and current input symbol is 1 then do nothing and move to q5.
( 2, 0/e ) − If top of stack is 0 and current input symbol is 2 then pop 0 and move to q3.
( $, I/I ) − If top of stack is I and there is no input then do nothing and move to q4. For NULL string.
-
Transitions for state q1
−( 1, 1/11 ) − If top of stack is 1 and current input symbol is also 1 then push 1 to top of stack and remain at q1. Stack becomes 11.... Keep pushing 1s until the next 2.
( 2, 1/e ) − If top of stack is 1 and current input symbol is 2 then pop 1 and move to q2.
-
Transitions for state q2
&minus( 2, 1/e ) − If top of stack is 1 and current input symbol is 2 then pop 1 and remain at q2.
( 2, 0/e ) − If top of stack is 1 and current input symbol is 2 then pop 1 and move to q3.
-
Transitions for state q3
−( 2, 0/e ) − If top of stack is 1 and current input symbol is 2 then pop 1 and move to q4.
( $, I/I ) − If top of stack is I and there is no input then do nothing and move to q4. For NULL string.
-
Transitions for state q5
−( 1, 1/11 ) − If top of stack is 1 and current input symbol is also 1 then push 1 to top of stack and remain at q5. Stack becomes 11.... Keep pushing 1s until the next 2.
( 2, 1/e ) − If top of stack is 1 and current input symbol is 2 then pop 1 and move to q6.
-
Transitions for state q6
−( 2, 1/e ) − If top of stack is 1 and current input symbol is 2 then pop 1 and remain at q6.
( $, I/I ) − If top of stack is I and there is no input then do nothing and move to q4. For NULL string.