Article Categories
- All Categories
-
Data Structure
-
Networking
-
RDBMS
-
Operating System
-
Java
-
MS Excel
-
iOS
-
HTML
-
CSS
-
Android
-
Python
-
C Programming
-
C++
-
C#
-
MongoDB
-
MySQL
-
Javascript
-
PHP
Centers of a tree
The center of a tree is a vertex with minimal eccentricity. The eccentricity of a vertex X in a tree G is the maximum distance between the vertex X and any other vertex of the tree. The maximum eccentricity is the tree diameter. If a tree has only one center, it is called Central Tree and if a tree has only more than one centers, it is called Bi-central Tree. Every tree is either central or bi-central.
Algorithm to find centers and bi-centers of a tree
Step 1 − Remove all the vertices of degree 1 from the given tree and also remove their incident edges.
Step 2 − Repeat step 1 until either a single vertex or two vertices joined by an edge is left. If a single vertex is left then it is the center of the tree and if two vertices joined by an edge is left then it is the bi-center of the tree.
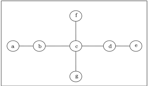
Problem 1
Find out the center/bi-center of the following tree −

Solution
At first, we will remove all vertices of degree 1 and also remove their incident edges and get the following tree −

Again, we will remove all vertices of degree 1 and also remove their incident edges and get the following tree −

Finally we got a single vertex 'c' and we stop the algorithm. As there is single vertex, this tree has one center 'c' and the tree is a central tree.
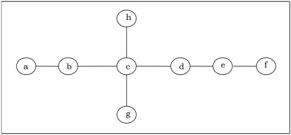
Problem 2
Find out the center/bi-center of the following tree −

Solution
At first, we will remove all vertices of degree 1 and also remove their incident edges and get the following tree −

Again, we will remove all vertices of degree 1 and also remove their incident edges and get the following tree −

Finally, we got two vertices 'c' and 'd' left, hence we stop the algorithm. As two vertices joined by an edge is left, this tree has bi-center 'cd' and the tree is bi-central.
