Data Structure
Networking
RDBMS
Operating System
Java
MS Excel
iOS
HTML
CSS
Android
Python
C Programming
C++
C#
MongoDB
MySQL
Javascript
PHP
- Selected Reading
- UPSC IAS Exams Notes
- Developer's Best Practices
- Questions and Answers
- Effective Resume Writing
- HR Interview Questions
- Computer Glossary
- Who is Who
C Program for compound interest?
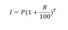
Here we will see how to get the compound interest by writing one C program. The logic is very easy. Here we need some parameters −
- P − Principle amount
- R − Rate of interest
- T − Time span
The compound interest formula is like below

Example
#include<stdio.h>
#include<math.h>
float compoundInterest(float P, float T, float R) {
return P*(pow(1+(R/100), T));
}
int main() {
float p, t, r;
printf("Enter Princple amount, rate of interest, and time: ");
scanf("%f%f%f", &p, &r, &t);
printf("Interest value: %f", compoundInterest(p, t, r));
}
Output
Enter Princple amount, rate of interest, and time: 5000 7.5 3 Interest value: 6211.485352
Advertisements